Welcome to the new IOA website! Please reset your password to access your account.

Proceedings of the Institute of Acoustics

 

Good view or good acoustics? Can I have both?

 

Y. Chen, Marshall Day Acoustics, Sydney, NSW, Australia
D. Cabrera, The University of Sydney, Sydney, NSW, Australia

 

1 INTRODUCTION

 

Apart from the acoustics, the visual scene in a concert hall also plays an important role in an audience’s concert-attending experience, and the view of the stage is a key component of the visual scene. Visual preference contributes to the overall preference of the performance environment and experience1-6; and visual and auditory preference also interact with and enhance each other7-10. In addition, some of the factors that influence auditory and visual preference are correlated. Proximity to stage is one of the major determinants of visual preference1-3; while in concert halls, due to its effect on direct sound energy, proximity is usually positively correlated with sound strength, which is positively correlated to auditory preference1-3,5,6. Another example is floor rake in the seating area. Lower rakes usually result in visual obstruction between audience members, which negatively affects visual preference1,2. Acoustically, lower rakes are associated with more severe unwanted low-frequency attenuation in the direct sound caused by the seats, known as the seat dip effect11.

 

Various studies have analysed and compared the acoustical quality or preference of a range of concert halls12-15, but no systematic comparison has been done for the visual quality of any concert halls. The current study analyses an aspect of the visual quality of 56 concert halls that have been documented by Barron13 and Beranek15 using the quality of stage-view prediction model previously proposed by the authors1. It explores relationships between the stage-view visual quality and previously documented acoustic quality in these halls.

 

2 METHOD

 

The analysis includes 56 auditoria from two well-known books on auditorium acoustics: Barron’s Auditorium Acoustics and Architectural Design13 and Beranek’s Concert Halls and Opera Houses: Music, Acoustics, and Architecture15. All 16 British auditoria listed in Barron’s book13 and 49 world auditoria from Beranek’s book that have sufficient information available have been analysed, including 9 auditoria in common.

 

The view quality of the auditoria was predicted using 3D computer model of the halls, built based on the floor plans and section drawings provided in the books13,15. The acoustic quality was categorized based on the analysis in the books and related papers12-15. Number of seats and other relevant information of the auditoria were based on information available in the books.

 

2.1 Calculation of view quality

 

2.1.1 Prediction model

 

The prediction model for view quality was previous proposed by the authors based on 3 virtual-reality subjective preference experiments1-3 involving 96 participants in total. The first experiment examined the effect of distance to stage, lateral angle to the centreline of auditorium, and vertical angle to stage floor, through an orthogonally controlled experiment design; while the second and third experiment further tested and refined the model in various auditorium settings, and included the effect of visual obstruction. The final model used in the calculation is given below:

 

 

In which 𝑃 is the seat preference prediction based on the effect of distance, lateral angle, vertical angle, and visual obstruction; 𝑃𝐷 is the effect of distance; 𝐷 is the distance from the point of focus in metres; 𝑃𝐿 is the effect of lateral angle; 𝐿 is the lateral angle from the centre symmetric plane in degrees; 𝑃𝑉 is the effect of vertical angle; 𝑉 is the vertical angle from the horizontal plane in degrees; 𝑃𝑂 is the effect of visual obstruction; 𝑉𝑂 is the amount of visual obstruction, a number between 0 and 1, which equals to the proportion of stage area that is invisible from the location; 𝑣𝑑 = -0.0952; 𝑙 = -0.0127; 𝑣1 = 0.0613; 𝑣2 = -0.0017; 𝑜 = -1.92. For easier interpretation of the result values, an additional equation was used to scale the results to approximately between 0 and 100:

 

2.1.2 Modelling of auditoria

 

The seating areas of each auditorium were modelled in the software Rhinoceros, using floor plans and section drawings provided in the books13,15. A Python script was used to distribute viewing locations on the seating areas, calculate the prediction result at each location, and derive the results of the auditoria. More details of the modelling process including the full Python script can be found in the author’s thesis1.

 

For easier statistical comparison, the viewing locations representing audience view-points were modelled as evenly distributed points at 0.9 m intervals within each seating area, 1.2 m above the floor, instead of following the exact seating layout. The target location for distance and angle calculation was at the conductor location, 1.2 m above the floor, consistent with the experiments where the model was derived. The target locations representing an orchestra on stage for visual obstruction calculation were modelled as a 3D point grid of 378 points filling a cuboid volume of 12 m wide, 7.5 m deep, and 1.8 m high. This method has been compared with the more accurate method of modelling individual seats based on the seating layout, and showed good consistency.

 

The calculation of view quality was based on individual viewing locations, therefore to compare between auditoria, two statistical indicators were selected to represent the overall visual condition of each auditorium: the proportion of seating area with calculated view score over 50 (“good” proportion, a number between 0 and 1), and the number of seats with calculated view score over 50 (“good” seats = “good” proportion × total number of seats). These have been selected over traditional statistical descriptors such as mean or median to eliminate potential bias caused by the distribution of seating points.

 

2.2 Categorization of acoustic quality and shape

 

The acoustic quality of the concert halls was divided into three categories: A, B, and C. The categorization for Beranek’s list followed the ranking provided in his paper14, with the top ranked auditoria (1-20) in Category A, 21 to 39 in Category B, and the bottom ranked (40-58) in Category C. The categorization of Barron’s list was based on the descriptions of subjective characteristics in the book13. The halls with highly positive descriptions are in Category A, those with mixed or average descriptions are in Category B, and those that mainly have criticism are in Category C. There are 19 A, 13 B, and 17 C in Beranek’s categorization; and 5 A, 7 B, and 4 C in the categorization based on Barron’s book.

 

The shapes of the auditoria were categorized into four types consistent with Beranek’s categorization15: rectangular (REC), geometric (GEO), fan-shaped (FAN), and horse-shoe shaped (HSU). The floor plan of a typical example for each shape is given in Figure 1. There are a total of 27 REC, 13 GEO, 10 FAN, and 6 HSU.

 

 

Figure 1: Example floor plans of the four shape categories used in the analysis15. A: rectangular hall example - Vienna Grosser Musikvereinssaal. B: geometric hall example - Berlin Philharmonie. C: fan shaped hall example - Lenox Tanglewood Music Shed. D: Horse-shoe hall example - Buenos Aires Teatro Colon.

 

3 RESULTS

 

3.1 Stage-view quality visualization over the seating areas

 

As the view quality of the stage is calculated for the whole seating area of each auditorium, to better visualize the results, the areas are coloured according to the calculated view scores (Figure 2). The colour changes gradually with three anchors: red for 0 or below, yellow for 50, and green for 100 or above. The areas with scores over 50 are highlighted with green contours. All auditoria analysed arevisualized according and arranged below. The sizes of the figures are scaled to the best fit, and do not represent the size of the auditoria.

 

3.2 Visual vs. acoustic condition

 

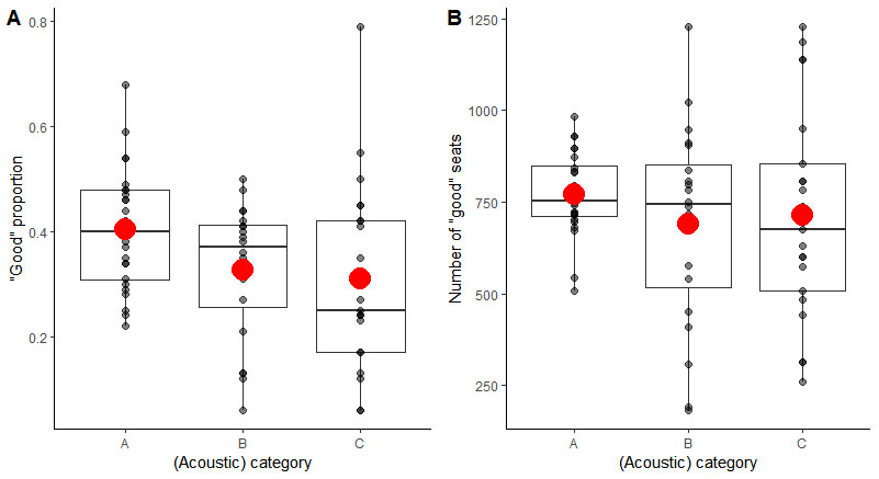
To examine whether these is general correlation between visual and acoustic conditions, one-way ANOVAs were conducted for the relationship between acoustic category and visual quality (“good” proportion and “good” seats). The results show only a weakly significant effect (at 90% confidence) for “good” proportion (F(2,62) = 2.74, p = .072), and no effect for the number of “good” seats (F(2,62) = 0.71, p = .498) between auditoria in different acoustic categories. There is a slight decreasing trend in “good” proportion when acoustics deteriorates from A to C, while Tukey-HSD post hoc test shows only a weakly significant difference between A and C (p = .083). For the number of “good” seats, while the medians in the three categories are very similar, the distribution is much more concentrated in halls of Category A (Figure 3), which means that halls with the best acoustic quality are less varied in stage-view quality than the others.


 

Figure 2: Result visualisation of all analysed auditoria. Colour scale: red (0 or below) – yellow (50) – green (100 or above). Green lines bordered areas: 50 or above. Image of halls not in scale.

 


 

Figure 3: Distribution boxplots of "good" proportion (A) and number of “good” seats (B) in different acoustic categories, along with mean (red dots) and individual values (small grey dots).

 

3.3 Shape vs. visual and acoustic condition

 

The auditorium shape is one of the most important characteristics of concert halls that affect their acoustic condition, and most of the auditoria with best acoustics are rectangular halls because of the strong lateral reflection the side walls provide, while fan-shaped halls usually have insufficientlateral support and are mostly poor acoustically. The chi-square calculation (Χ2 = 19.98, df = 6, p = .003) and balloon plot (Figure 4A) for the relationship between shape and acoustic category aligns with this conclusion.

 

Adding in visual condition, the “good” proportion is plotted against different shapes and acoustic categories (Figure 4B). While there are no fan-shaped halls in Category A, rectangular halls generally have better visual condition than geometric halls and horse-shoe halls. Fan-shaped halls with fair acoustics (Category B) have much lower visual quality than other shapes, and those that have better visual quality have poor acoustics (Category C). On the other hand, acoustics and visual quality have a positive relationship in geometric halls, meaning that geometric halls with good acoustics generally also have better overall visual condition. The rectangular halls that have the best acoustics also have the best visual condition. Overall, although the differences in visual condition between individual halls are more significant than between shapes, rectangular halls have the best visual quality while fan-shaped halls have the lowest, despite the usual belief that fan shaped halls provide the better views than rectangular halls. However, this effect was only weakly significant, at 90% confidence (F(3,61) = 2.24, p = .093).


 

Figure 4: Relationship between hall shape and acoustics. A: balloon plot of shape vs. acoustic category. B: distribution boxplot of calculated “good” proportion for each shape and acoustic category

 

3.4 Size vs. acoustic and visual condition

 

The auditorium size is also an important factor that affects their quality. For acoustics, halls that are too large usually have insufficient sound strength due to the dispersion of sound energy in space, and seats at the back usually have lower clarity. The size of the auditorium is represented by the totalnumber of seats, and there is a negative relationship between the number of seats and acoustic quality (Figure 5) (F(2,62) = 4.40, p = .016), though Tukey-HSD post hoc test shows that only the difference between Category A and C reaches significance (p = .013). The auditorium shape also is significantly related to size (F(3,61) = 3.27, p = .027). Fan-shaped halls have the largest mean number of seats, and rectangular halls have the fewest, although post hoc test only found small significance differences (at 90% confidence) between rectangular and fan-shaped (p = .062), and rectangular and geometric (p = .077).


 

Figure 5: Hall size represented by total number of seats plotted against acoustic category (A) and shape (B), together with mean (red dots) and individual values (small grey dots)

 

Due to the negative correlation between distance to stage and visual preference, seats further away from the stage generally have lower calculated scores. As a result, larger auditoria tend to have lower calculated overall view quality. To examine the relationship between auditorium size and overall view quality, the “good” proportion for each auditorium is plotted against the total number of seats of the auditorium (Figure 6). The auditoria are also separated by shape and acoustic quality category to reveal further relationships. While the overall quality represented by the “good” proportion generally decreases as size increases (r = -.68, p < .001), the different auditorium shapes have slightly different trends. The overall view quality in rectangular halls is affected by size the least (r = -.34, p = .059). Geometric halls are more affected by size, while usually having larger sizes (r = -.79, p < .001). Fan shaped halls usually have good overall visual condition when the auditorium is small (e.g., less than 2500 seats), but the condition degrades the fastest as size increases, because the number of seats in each row increases with distance, so it includes more seats with poor visual condition when size increases compared to other shapes. Thus fan-shaped halls are the most negatively affected by size (r = -.84, p = .001). Horse-shoe halls usually have a large number of seats on the balconies around the perimeter of the halls which are usually relatively far from the stage, therefore having the least desirable overall visual condition compared to other halls with the same number of seats, while still being negatively affected by size (r = -.77, p = .041). However, while there is a general trend that the overall visual condition decreases as size increases, the visual condition can be very different between halls of similar size, especially for rectangular halls and halls with small sizes.

 

While the proportion of seats with good visual condition decreases with hall size, there is an optimal auditorium size that can provide the greatest number of “good” seats at around 2000 to 2500 seats. Rectangular halls, which are generally smaller, have a positive correlation between the number of “good” seats and size (r = .43, p = .015), while the correlation is negative for geometric (r = -.64, p = .010) and fan-shaped halls (r = -.69, p = .018), which are usually bigger. When the capacity exceeds 3000, even though there are more seats in the auditorium, the number of “good” seats decreases, possibly due to the reduced seating rake. Meanwhile, there are no auditoria with acoustic category of A with over 3000 seats. In other words, it is difficult for large auditoria with over 3000 seats to achieve either good acoustics or good stage view.

 

However, the auditoria with the most “good” seats are only in Category C in terms of acoustics. The three auditoria with the most “good” seats are: Glasgow Royal Concert Hall (1228 out of 2457 seats), Salzburg Festspielhaus (1187 out of 2158 seats), and Manchester Free Trade Hall (1138 out of 2529 seats). A common characteristic of these halls is that they are all relatively wide with large balconies close to the stage. While the large width and balconies allow more seats to be close to the stage andincrease the overall visual quality, they may result in lower lateral reflection that is undesirable in acoustics.

 

The halls in Category A that have the largest number of “good” seats are: Basel Stadt-Casino (985 out of 1448 seats), Bristol Colston Hall (931 out of 1940 seats), Cardiff St. David’s Hall (898 out of 1952 seats), Salt Lake City Abravanel Symphony Hall (872 out of 2812 seats), and Berlin Philharmonie (843 out of 2218 seats). Three out of five of these halls are around 2000 seats capacity, with one smaller (Basel Stadt-Casino, 1448) and one larger (Abravanel Symphony Hall, 2812). This may suggest that around 2000 may be an optimal size for concert halls to achieve both good acoustics and maximum number of seats with good view. Two of these halls are geometric, both of which are vineyard-shaped, while the rest are rectangular.


 

Figure 6: View quality vs. total number of seats

 

4 CONCLUSION

 

This paper analyses the predicted view quality of whole seating areas in some of the acoustically ranked world auditoria using an objective prediction model derived from previous subjective experiments1-4. The main findings are discussed below.

 

In general, halls with the best acoustics have less varied stage view qualities compared to others. While halls with average or poor acoustic quality may have very good or very poor view quality, the halls with good acoustics generally have medium to good view quality. This may mean that there are certain rules that a hall needs to comply with to achieve good acoustics, and the same rules also confine the view quality.

 

For different hall shapes, when the acoustic qualities are in the same category, rectangular halls generally have the best view qualities, especially in the halls with the best acoustics. This is contrary to general belief that other shapes, especially geometric and fan-shaped halls, have better view qualities than rectangular halls. Geometric halls have relatively good view quality when acoustics is also good, but there are some halls that have both low acoustical and view quality. Due to the very small sample size of horse-shoe halls, they are not analysed in detail.

 

Generally smaller halls have both better acoustics and better view qualities (in terms of proportion) compared to larger halls. This is easy to understand as smaller halls have smaller source-receiver distances—and smaller distance corresponds both to larger image and more detailed resolution, which leads to higher visual preference, and to greater sound pressure level and higher intimacy, which lead to higher auditory preference.

 

In terms of providing the largest number of seats with “good” view quality, there is an optimal size of auditorium at around 2000 to 2500 seats. While smaller halls can have a higher proportion of seats with good view, the total number is small and limits the number of “good” seats. Larger halls with more than 3000 seats generally need to sacrifice seating rake to fit in the number, which in turn deteriorates view quality in the area where the best view quality should be achieved. However, this does not guarantee that all halls around that size have “good” view quality as the view quality varies greatly for the same size and even same hall type, pointing to the need of design optimization regarding view quality, which is a sparsely-documented aspect of the concert hall design process.

 

While it is widely accepted that fan-shaped halls generally have medium to poor acoustics due to the lack of lateral reflection13,15, they are still built in some cases in the belief of achieving better viewing conditions. However, the results in this analysis show that it is not the case, especially for large halls. While they may fit more seats within an acceptable lateral angle, there are more seats that are further away from the stage and fewer that are close to the stage, and distance is one of the main influential factors for view quality.

 

This analysis is based on the proposed prediction model and simplified architecture models, and does not take into account detailed seating layout including row widths and staggered seating. It only estimates the view obstructions using the proposed simplified method, and does not include obstructions from architecture elements (such as balcony railings). Only a single point on stage is used in the location calculation, so it does not include the effect of different stage setups (e.g., having riser steps on stage). It assumes a conventional orchestra as a visual focus, whereas other ensembles may have different tolerances for viewing angles. However, the results show some general statistical trends of a number of halls, which may be of interest to some readers.

 

5 REFERENCES

 

  1. Y. Chen: Multimodal Perception of Auditoria: Influence of Auditory and Visual Factors on Preference (Ph.D. thesis), University of Sydney, 2022.

  2. Y. Chen, D. Cabrera and D. Alais: Separate effects of auditory and visual room size on auditorium seat preference: a virtual reality study. Perception 51(12):889–903, 2022.

  3. Y. Chen, D. Cabrera and M. Yadav: Finding the seat with the best view: stage-view preference for orchestra. SAGE Open (manuscript accepted), 2023.

  4. Y. Chen and D. Cabrera: Environmental factors affecting classical music concert experience. Psychol. Music 51(3):782–803, 2023.

  5. J. Y. Jeon, Y. H. Kim, D. Cabrera and J. Bassett: The effect of visual and auditory cues on seat preference in an opera theater. J. Acoust. Soc. Am. 123(6):4272–4282, 2008.

  6. S. Sato, S. Wang, Y. Zhao, S. Wu, H. Sun, N. Prodi, C. Visentin, and R. Pompoli: Effects of acoustic and visual stimuli on subjective preferences for different seating positions in an Italian style theater. Acta Acust united Ac. 98(5):749–759, 2012.

  7. Y. Chen and D. Cabrera: The effect of concert hall color on preference and auditory perception. Appl. Acoust. 171:107544, 2021.

  8. J. R. Hyde: Multisensory integration and the concert experience: An overview of how visual stimuli can affect what we hear. J. Acoust. Soc. Am. 115(5):2402, 2004.

  9. D. Alais, F. Newell and P. Mamassian: Multisensory processing in review: from physiology to behaviour. Seeing and Perceiving 23(1):3, 2010.

  10. B. E. Stein and M. A. Meredith: The Merging of the Senses. The MIT Press, 1993.

  11. H. Tahvanainen, T. Lokki, H. S. Jang and J. Y. Jeon: Investigating the influence of seating area design and enclosure on the seat-dip effect using scale model measurements. Acta Acust united Ac. 4(4):15, 2020.

  12. M. Barron: Subjective study of British symphony concert halls. Acustica 66(1):1–14, 1988.

  13. M. Barron: Auditorium Acoustics and Architectural Design (2nd ed.). Spon Press, 2009.

  14. L. Beranek: Subjective rank-orderings and acoustical measurements for fifty-eight concert halls. Acta Acust united Ac. 89(3):494–508, 2003.

  15. L. Beranek: Concert Halls and Opera Houses: Music, Acoustics, and Architecture (2nd ed.). Springer, 2012.