Welcome to the new IOA website! Please reset your password to access your account.

Proceedings of the Institute of Acoustics

 

 

Multi mode method solution for acoustic propagation in a strongly range-dependent ocean waveguide

 

 

Bin Wang, Shanghai Jiao Tong University, Shanghai, China
Wang Wei, Shanghai Jiao Tong University, Shanghai, China
Jun Fan, State Key Laboratory of Ocean Engineering, Shanghai, China
Xiubo Wang, Dalian Scientific Test and Control Technology Institute, Dalian, China

 

 

1 INTRODUCTION

 

With the increasing demands on active recognition of underwater objects, low- and mid-frequency acoustic propagation in a strongly range-dependent ocean waveguide is highly concerned, both forward and backward. Coupled mode method1 is one of the most important methods to solve the acoustic propagation with full consideration of backward wave. However, the efficiency and robustness of this method are highlighted gradually with the increase of frequency, namely low computing efficiency above the eigen-equations for each stair step and poor robustness of backward propagation over a large distance.

 

Though some efficient methods have been put forward for directly root-finding of the eigen-equation, such as perturbation method2 and WKB method3, they are not valid in the case of strongly range-dependent waveguide. Besides, some mapping methods have been proposed to solve the eigen-equation indirectly. The most representative one is spectrum method4 in which the eigen-functions are expanded with the kernel functions and the matrix of expansion coefficients is configured with both the eigen-equation and the boundary condition. In order to obtain the highest convergent speed, Chebyshev polynomials is often adopted as the kernel functions usually. However, the eigen-value obtained is not convergent with the truncated order and some prior knowledge has to be known to guarantee the precision.

 

Since the amplitude of backward wave increases with the propagation range exponentially, propagator matrix of acoustic pressure becomes seriously ill-conditioned especially propagation range and analyzing frequency growing up. Though some tips were adopted to control the condition number, such as approximation about the special functions and regularization of the propagator matrix, an error always arises when higher frequency or larger distance is considered.

 

V. Pagneux et al5,6 chose sine or cosine functions as the kernel functions in spectrum method and solved the eigen-function of single-layered lined waveguides. Though higher truncated order is required compared with Chebyshev polynomial, the solution is always convergent with the truncated order and spends much less time than direct root-find methods. In addition, propagator matrix of acoustic pressure is replaced with that of acoustic admittance which is always robust, for acoustic admittance of forward wave and that of backward waves are in on the same order of magnitude. As an extension, a robust solution of acoustic propagation in a strongly range-dependent multi-layered ocean waveguide is discussed in this paper.

 

 

 

2 WAVE EQUATION FOR MULTI-LAYERED OCEAN WAVE-GUIDES

 

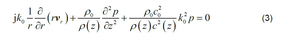
In cylindrical coordinates, wave equation of acoustic propagation in a multi-layered ocean waveguide inspired by a harmonic point source of circular frequency ω and unit strength on z axis can be described as

                                                                                         

 

where p is complex acoustic pressure, zs is the depth of the point source, and ρ, c are the density and sound speed with respect to both the depth, respectively.

 

According to relationship between sound pressure and radial velocity, that is

                                                                                                          

 

it yields

                                                                                                   

 

where ρ0 , c0 are the density and sound speed of the first layer.

 

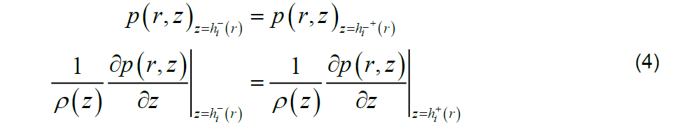
On the interfaces between the neighboring layers, it satisfies

                                                                                                     

 

where hi is the depth of the i th layer. On the boundaries, there is

                                                                                                   

 

in which H is the depth of the supposed pressure release boundary which is set to be deep enough and used to exclude the lateral wave.

 

 

 

3 SPECTRUM METHOD WITH SINE OR COSINE FUNCTIONS

 

Usually, some methods with convergent solutions are more popular than those with a high convergent speed but ill-convergent solutions. So sine or cosine functions are chosen for the kernel functions of spectrum method as the extension of V. Pagneux's work5 on single-layered waveguides. For simplicity, a strongly range-dependent double-layered waveguide is considered about which the derivation and the conclusion can be extended to the case of multi-layered waveguides.

 

According to multi mode method, acoustic pressure and radial velocity can be expressed using infinite series

                                                                                                   

 

where ψn  denotes the projection function and satisfies

                                                                                                  

 

and

                                                                                             

 

Inserting Eq.(8) Error! Reference source not found. into Eq. Error! Reference source not found. (2) and Eq.(3) Error! Reference source not found. , it yields

 

                                                                                                                    

 

and                                                                    

                                                                                       

 

where

                                                         

 

and ρe  is the density of the second layer.

 

 

 

4 PROPAGATION IN STRONGLY RANGE-DEPENDENT OCEAN WAVEGUIDES

 

Combination Eq. (9) Error! Reference source not found. with Eq. Error! Reference source not found. (10), it yields Riccati function with respect to the coefficient vector of acoustic pressure and radial velocity

                                                                                                       

 

in which

                                                                                               

 

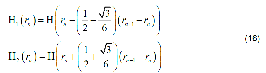
Eq. Error! Reference source not found. (12) can be solved with Magnus method7 . Fourth order Magnus method is adopted here. At each step-wise range-independent waveguide [rn,rn+1 ] ( n=1,...N-1), it satisfies

                                                                                    

 

where

                      

 

and

                                                           

 

As eΩn can be computed directly with MATLAB Function expm() and donated by

                                                                            

 

Inserting Eq.(17) Error! Reference source not found. into Eq.(14) Error! Reference source not found. , the recurrence relations of acoustic pressure and admittance can be obtained

 

                                                

 

where

                                               

 

Once acoustic admittance is confirmed at rN , such as one-way radiation boundary, acoustic admittance at others discrete radial distances can be calculated with Eq.(19) Error! Reference source not found. On that basis, acoustic pressure at rN can be obtained with acoustic admittance and acoustic pressure at r1 which is satisfying the source.

 

For one-way radiation boundary, and admittance can be expressed as

                                               

 

where

                                                                   

 

and X is eigen-vectors corresponding to eigen-values λn  which satisfies

                                                                         

 

For a unit point source on z axis, acoustic pressure and radial velocity can be expressed as

                                                    

 

where

                                                               
                                       

 

 

5 NUMERICAL SIMULATION

 

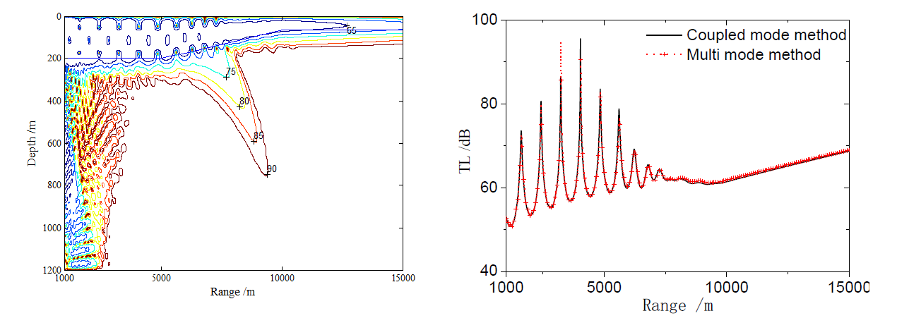
Since step-wise coupled mode method was put forward by Evans1, it is always regarded as a benchmark solution to verify other acoustic propagation solutions. Multi mode method is verified with the same benchmark problem. Parameters are at the same as those in Ref.1 and shown in Figure 1.

 

                                                                                                  

 

 

Figure 1: Sketch of a range-dependent waveguide (25Hz)

 

Figure 2 gives contoured transmission loss(dB) versus depth and range obtained by the method proposed by in this paper. Figure 3 shows transmission losses(dB) versus range in which the depth of the receiver is 50m.

 

                                                                                    

 

Figure 2: Contoured transmission losses
Figure 3: Transmission losses versus range

 

As shown in Figure 2, contoured transmission loss is consistent with Figure 4 in Ref.1 very well. The truncated order of multi mode method is just set as 30th and the solution is convergent. As supplementary, transmission losses obtained by these two methods are coincide perfectly.

 

However, when propagation range or analyzing frequency grows up, an error solution with coupled mode method would arise as shown in Figure 4 and Figure 5. Except for propagation range and analyzing frequency changed as 50km and 120Hz respectively, other parameters are the same as those in Figure2 or Figure 3.

 

                                                                

 

Figure 4: Contoured transmission losses(50km)
Figure 5: Transmission losses versus range(120Hz)

 

As shown that convergent solutions obtained by multi mode method when larger propagation range or higher analyzing frequency is considered. Coupled mode method is handicapped with the ill- conditioned propagator matrix of acoustic pressure.

 

 

6 CONCLUSION

 

In this paper, multi mode method is applied to the solve the eigen-equations and propagator matrix of acoustic pressure is replaced by that of acoustic admittance which is convergent in any distance. Numerical simulations show that an accurate and robust solution of acoustic field can be obtained in the cases of larger distance or steeper slope using this method.

 

 

7 REFERENCES

 

  1. Evans R B. A coupled mode solution for acoustic propagation in a waveguide with stepwise depth variations of a penetrable bottom. The Journal of the Acoustical Society of America, 74(1): 188-195. (1983).

  2. T Tindle C T, O’Driscoll L M, Higham C J. Coupled mode perturbation theory of range dependence. The Journal of the Acoustical Society of America, 108(1): 76-83. (2000).

  3. Cockrell K. Variability of the waveguide invariant in a range independent shallow-water environment. The Journal of the Acoustical Society of America, 131(4): 3451-3451. (2012).

  4. Adamou A T I, Craster R V. Spectral methods for modelling guided waves in elastic media. The Journal of the Acoustical Society of America, 116(3): 1524-1535. (2004).

  5. Pagneux V, Agnès M. Lamb wave propagation in elastic waveguides with variable thickness. Proceedings of the Royal Society of London A: Mathematical, Physical and Engineering Sciences, Vol. 462, No. 2068. (2006).

  6. Bi W, Pagneux V, Lafarge D, et al. Efficient modelling sound propagation in non-uniform lined intakes. AIAA Pap, 3522(2007): 14. (2007).

  7. Lu Y Y. A fourth-order Magnus scheme for Helmholtz equation. Journal of Computational and Applied Mathematics, 173(2): 247-258. (2005).