Welcome to the new IOA website! Please reset your password to access your account.

DIFFERENTIAL EQUATIONS FOR NORMAL MODE STATISTICS
Morozov et al.

 

 

Differential equations for normal-mode statistics of sound scattering by a rough sea surface with ice.   

 

 

Andrey K. Morozov,
Department of Applied Ocean Physics and Engineering, Woods Hole Oceanographic Institution, MS# 09, Woods Hole, Massachusetts 02543, USA; amorozov@whoi.edu

 

John A. Colosi,
Department of Oceanography, Graduate School of Engineering and Applied Sciences, Naval Postgraduate School, 833 Dyer Road, Monterey, California 93943, USA; jacolosi@nps.edu

 

 

Abstract — the underwater sound scattering by rough sea ice or rough sea surface is studied. The study includes the scattering from a rough boundaries and elastic effects in the solid layer. A transport theory in a Markov approach and coupled modes solution are used to derive the stochastic differential equation for second order statistics. It is shown that a coupled mode matrix can be approximated by a linear function of one random perturbation parameter such as ice-thickness or the perturbation of the surface position. This one parameter Gaussian model has a solution in a form of matrix exponential.
© 2016 Acoustical Society of America
PACS numbers: 43.30.Bp, 43.30.Ft, 43.30.Hw, 43.30.Re

 

 

1 INTRODUCTION

 

 

Sound wave scattering from rough surfaces has been the subject of investigation for many decades. The problem has no exact analytic solution. Many approaches have been developed in order to explain numerous experimental data. The earliest mathematical research of wave scattering from rough surfaces belongs to Lord Rayleigh [1]. The Rayleigh criterion is the main parameter for estimating the degree of surface roughness. The small perturbation approximation is the further development of the problem Ref. [2]. Brekhovskikh [3] developed the tangent plane approximation (Kirchhoff approximation). The combination of both methods has been considered by Kuryanov [4] for surface with two types of unevenness. The small slope approximation has been developed by Voronovich [5]. The review of different methods is given in Ref. [6]. The full wave propagation model has been applied for the scattering of sound from a rough elastic bottom by Kuperman and Schmidt [7]. The coupled mode approach to the propagation in a waveguide with the rough boundaries has been developed by Beilis and Tappert [8]. Raghukumar and Colosi combined scattering by random surface and internal waves in Ref. [9].

 

In this paper, scattering from a rough elastic boundary in an acoustic waveguide is considered for a model with one random Gaussian parameter representing surface deviation, layer thickness, or other. The objective of the paper is to derive the solution for the mode correlation matrix in a form of a matrix exponent. The mathematical formalism of the approach is close to that described in our recent publication Ref. [10]. The present paper has the following structure. Section 1 is an introduction. In Section 2, the master equations for single direction coupled mode propagation with rough elastic boundaries are derived. In Section 3 it is shown that a model with a single Gaussian random parameter can approximate a wide class of scattering boundaries. A solution for that model is given in the Section 4. Section 5 summarizes the results obtained and presents conclusions.

 

 

2 COUPLED MODE EQUATIONS

 

Let us assume that an ocean waveguide with sound speed  c(z) dependens from depth z has random boundary. The 3-D stochastic problem can be reduced to 2-D problem for an ocean with horizontally isotropic statistics. The solution of the problem has a form of superposition of non-correlated waves propagating with different azimuthal angles. The azimuthal correlation and condition of the azimuthal de-correlation are considered in Ref. [11]. For each azimuthal wave in cylindrical coordinates, the sound pressure satisfies the Helmholtz equation with boundary conditions at the random boundaries,

 

 

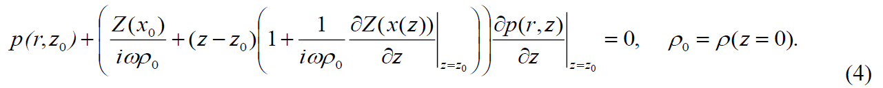
where r is the range; ρ is the water density; k(z)=ω/c(z) is the wavenumber; f is the frequency, f=ω/2πf . We will start by considering the scattering from elastic sea ice with thickness x=zd; where z is the depth of the ice-water interface; the zero of the vertical coordinate is set to the sea level; x0 is the thickness of an unperturbed ice and z0​ is the depth of the unperturbed ice-water interface; d=ρwaterice is the ratio of ocean water density to the ice density at 0°C.

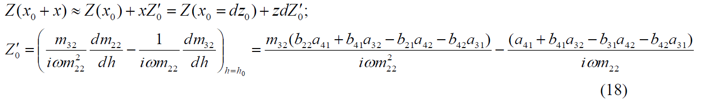
The bottom of floating ice z(r) is related to the ice thickness by z(r)=x/d. The notation Z(x=Zd) gives the acoustical impedance of the ice with thickness x; Z0=Z(x0=z0d) is the impedance of the non-perturbed thickness of the ice, Zb(z=−D) is the impedance of the elastic bottom, and Z′0=∂Z/∂xIx=z0d. The acoustic impedance depends on the mode number; however, as will be shown below, the dependence is not very strong. The elastic bottom boundary condition is

 

 

The inhomogeneous surface boundary condition is

 

 

The linear approximation of the last condition is given by

 

 

The analytic formula for the acoustical impedance of elastic ice  Z(x) and its derivative ∂Z / ∂x will be given in the next section. The problem can be formulated in a similar fashion for a rough wavy ocean surface, as in Ref. [9], or for a rough elastic bottom.

 

In this work a normal-mode expansion of the pressure field is attempted, of the form

 

 

where the mode functions are solutions of the unperturbed problem

 

 

with the boundary conditions

 

 

The modal boundary condition at the surface presents some challenges w hen we are required to enforce the inhomogeneous condition Eq. (3). Multiplying (1) by

 

,

 

integrating over depth, and using Eq. (5) we get

 

 

Integrating by parts twice and using (5) the result is

 

 

Substituting the boundary conditions Eq. (2,4) and using normal-mode expansion Eq. (5) in the last two terms we get

 

 

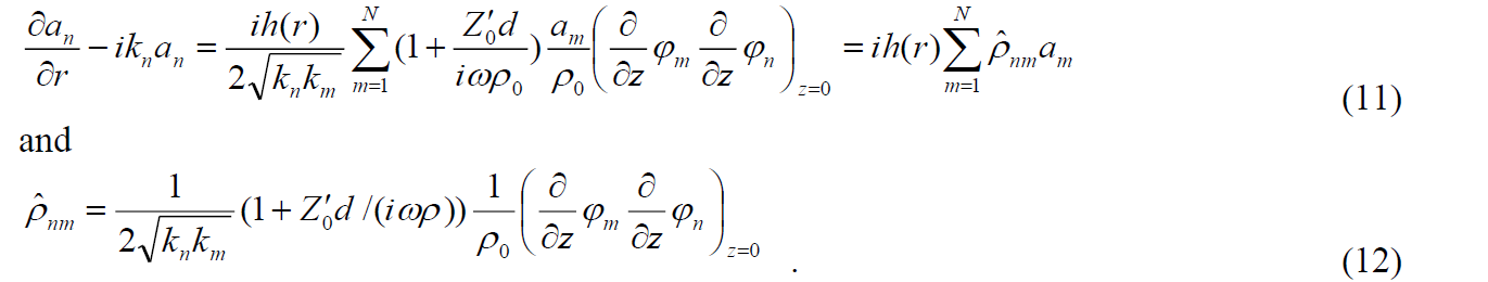
All terms free from the perturbation parameter h(r) = (z-z0) cancel each other out. Writing Eq. (10) as a one-way equation, we get

 

 

We considered the linear approximation of the acoustic impedance of the random boundary and derived a coupled mode matrix in a form of the product of a constant matrix and the random value h. Next we will show that such approximation covers many important types of random boundaries, such as a rough polar ice layer, sea surface, or elastic bottom.

 

Specific of acoustical impedance for a random elastic ice layer.

 

Consider an underwater acoustic waveguide covered by ice with a random thickness x(r) = x0 + hd, where h = (z - z0). Snell’s law for the horizontal mode wavenumber km =  ξhas the following form: ξ = kw sin( θ) = k1 sin (θ) = kt sin (θ). Here kw=ω /c(z = 0)  is the wavenumber in water; k1 ω /c1 is the longitudinal wave number in ice; c²1 = (λ + 2μ) / ρ ; λ, μ , are the Lamé

coefficients for ice (from Hooke’s or the free energy law); ρi  is the density of ice; 

 

 

is the z-component of longitude wavenumber in ice; kt ω /ct is the transverse shear wavenumber in ice;

 

 

is the z-component (vertical) of ice shear wavenumber;

 

 

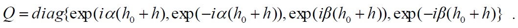
is just a useful parameter. The impedance of an elastic layer is determined by propagator matrix, as shown by Brekhovskikh [12]. The tension-stress propagator matrix has the form:

 

 

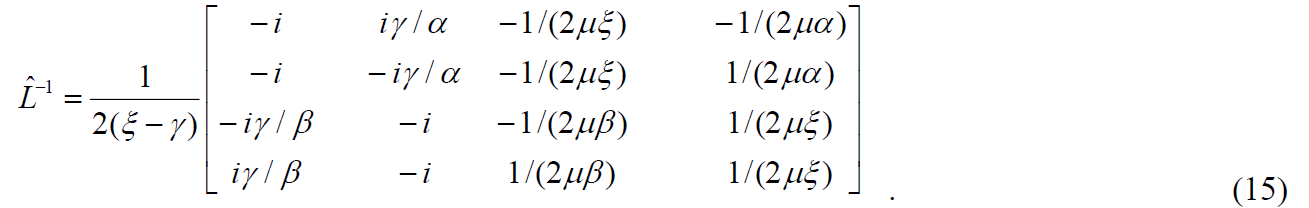
where Lˆ is transfer matrix from acoustic scalar and vector potentials to the tension-stress vector

 

 

is its inverse; Q is a diagonal matrix:

 

 

The transfer matrix and its inverse are given by

 

 

and

 

 

The compressional wave attenuation (for ice 0.45 dB/λ ) and shear wave attenuation (for ice 0.9 dB/λ) can be included as the imaginary part of α and β. In the case when the air layer can be considered as vacuum the impedance is given by

 

 

where

 

 

aij are ij components of the matrix A .

 

After substituting the components of matrices A into (17) we will get the equation for the derivative of impedance to ice layer thickness:

 

 

where  b21, b22, b31, b32, b41, b42 are the components of the matrix

 

 

The limit for a linear approximation can be shown by calculating impedance for different wavenumbers directly from the equation (16). The ice parameters are taken as follows: density ρi = 916.7[kg/m3]; Lamé coefficients 

 

 

temperature dependent coefficient  Ctem = 1 - 0.00142 (T + 16) ;temperature in degrees Celsius: T.

 

                                                                                                  

 
Fig. 1: Imaginary parts of impedance at grazing angle 0 degree (solid line) and 10 degrees (dotted line), over the frequency range 10 - 50 Hz with layer thickness changes from 0 - 10 m.

 

The imaginary part of impedance calculated explicitly by equation (16) is shown in Fig. 1 for grazing angles zero (solid line) and ten degrees (dashed line). The real parts of these impedances are zero. Results are shown in the frequency range 10 - 50 Hz and layer thickness range 0 - 10 meters. The curves in the Fig. 1 show a linear dependence between the layer thickness and impedance until it ten times smaller than the wavelength. In that case the elastic layer has the acoustic properties of a thin membrane. In this range, the impedance is very nearly independent of the grazing angle, for angels less than ten degrees. The dependence is a second order effect and for precise calculations, the mode wavenumber can be adjusted with impedance by a few iterations. The impedance for rough sea surface is a particular form of the previous case of 0 = Z . The coupled mode equation for rough sea surface has a form:

 

 

The random elastic sediment layer on the half-space random elastic bottom is similar case where coupled mode matrix is the product of random value h and constant matrix  {ρˆ nm } (20). The impedance for these models can be found in Brekhovskikh [12]:

 

 

The parameters of bottom in equation (21) are similar to those used for the ice: α is the z- component of longitude wavenumber in the bottom; β is the z-component (vertical) of ice shear wavenumber; γ is the parameter for bottom, the same as used for ice; λ, μ , are the Lamé coefficients for bottom; ξ is the horizontal wavenumber.

 

 

3 SOLUTION FOR THE ONE-PARAMETER GAUSSIAN STOCHASTIC PROBLEM

 

 

Let’s consider differential equation with constant matrix G and random parameter h

 

 

where U  = {un} is the vector-column; G is the square matrix N x N .

 

The rigorous solution of the main equation for the linear approximation is as follows

 

 

The derivation starts with the master equation for the first order momentum < U(r)> . We suppose that the rough surface h(r) is a Gaussian random process with the Gaussian characteristic function:

 

 

The range derivative is exact, because matrixes are commuting:

 

 

The differential equation for mean value is also rigorous.

 

 

and it has the exact solution:

 

 

Now returning back to the main equation (11) and making replacements

 

 

we transfer equation (11) to a form (22) with the matrix G . Now matrix G varies with the range r :

 

 

Equations for correlation γ = UUare:

 

 

where ⊗ is the tensor product; I is a unit matrix; 

 

 

is the matrix  (N2,N2) and

 

 

a column vector, obtained by sequentially combining of columns from initial matrix γ .

 

Let’s assume that at the maximum range of integration R the phase difference between propagating modes remains constant and condition (31) is satisfied.

 

 

The condition (31) means the velocity dispersion of modes with small numbers at the distance R , which is usual for a bundle of modes propagating at a small angle in underwater waveguide. Under that condition the matrix

 

 

and we can use a differential equation for the mean value (26) in a new form:

 

 

The equation has the solution in a form of a matrix exponent:

 

 

or in a form of the compact algorithm operating with the N N  dimension matrices:

 

 

When r will reach maximum depth R and condition breaks, the matrix G is changing. That can be counted by adding an additional slice at the next step. Combining correlation matrixes as a time- ordering a product of slice solutions, the evolution of the coherency matrix with the range can be written in a following form:

 

 

The result (36) is sensitive to the order of matrixes in the product, because matrixes in the product are not commuting. The order must be exactly the same as the order of slices overpassing by a wave in the waveguide. That result can be easily transformed into a form of time-ordering exponent. However, it doesn’t make it easy to calculate. That form of result is convenient in a case, when not only matrix G varies with the distance, but ice thickness statistics (bottom statistics) and unperturbed mode basis are changing from step to step. When each step in the range is large enough, we can assume that matrixes in the product (36) are commutative and use so called Rytov approximations. It will transform (36) into a matrix exponential:

 

 

In contrast to that solution the Markov approach gives approximate differential equation suitable for a numerical computation (35).

 

The derived equation gives the solution for different second order statistics of acoustical field in a waveguide with random boundaries. For example the spatial coherence of sound pressure will have a form:

 

 

 

 

4 CONCLUSION

 

 

The underwater sound scattering from rough elastic boundaries in the underwater waveguide has been considered. We have shown that boundary impedance can be approximated as a linear function of one random Gaussian parameter such as the height of perturbation or the thickness of the elastic layer. The coupled mode matrix is equal to the product of that random Gaussian parameter and a deterministic matrix. Such an approach includes scattering from a rough sea surface, random ice-sea water interface, or elastic bottom. In that approximation, at the distance where propagating mode dispersion remains small the differential equation for second order statistics was derived. That equation (11) has an analytical solution in the form of an exponential matrix of the correlation function of random boundary and coupled mode matrix. The correlation matrix at the largest distance can be obtained as time-ordering a product of correlation matrixes for each slice with small mode dispersion. That result can be approximated by a matrix exponential. The results can be used for the estimation of sound attenuation in long-range under- ice propagation or attenuation of seismic waves in an underwater waveguide with random bathymetry. The theory gives an analytic solution for the second order statistics of sound in a waveguide with rough boundaries.

 

 

REFERENCES

 

 

  1. J.W.S. Rayleigh, “On the dynamical theory of gratings," Proceedings of the Royal Society of London. Series A, Vol. 79, No. 532, 399–416, Aug. 1907.

  2. T. K. Chenmoganadam, “On the specular reflection from rough surfaces,” Phys. Rev., 13, 96–101 (1919).

  3. L. M. Brekhovskikh, “Diffraction of waves at a rough surface: I General theory,” Sov. Phys.-JETP, 23, 275–288 (1952).

  4. B.F. Kuryanov, “The scattering of sound at rough surface with two types of irregularities,” Sov. Ph. Ac., 8.3, 252–257, January–March 1963.

  5. A. G. Voronovich, Wave Scattering from Rough Surfaces, Springer Series on Wave Phenomena, 2nd edition, Springer, Berlin, 1998.

  6. F.G. Bass and I.M. Fuks, Wave Scattering from Statistically Rough Surfaces, Pergamon, New York, 1979, pp. 536.

  7. W.A. Kuperman, H. Schmidt, “Rough surface elastic wave scattering in a horizontally stratified ocean,” J. Acoust. Soc. Am., 79, 1767–1777 (1986).

  8. A. Beilis and F. D. Tappert, “Coupled mode analysis of multiple rough surface scattering,” J. Acoust. Soc. Am., 66, 811–826 (1979).

  9. K. Raghukumar, J.A. Colosi, “High-frequency normal-mode statistics in shallow water: The combined effect of random surface and internal waves,” J. Acoust. Soc. Am., 137(5), 2950–2961 (2015).

  10. A.K. Morozov, J.A. Colosi, “Entropy rate defined by internal wave scattering in long-range propagation,” J. Acoust. Soc. Am., 138, 1353 (2015).

  11. G. Voronovich, V. E. Ostashev, “Coherence function of a sound field in an oceanic waveguide with horizontally isotropic statistics,” J. Acoust. Soc. Am., 125, 99–110 (2009).

  12. L. M. Brekhovskikh, Waves in Layered Media, Academic Press, 1960, pp. 574.