Welcome to the new IOA website! Please reset your password to access your account.

Proceedings of the Institute of Acoustics

 

Acoustic monitoring of low-order deflagration clearance of unexploded ordnance at the Moray West offshore wind farm site

 

S. J. Stephenson, Seiche Ltd, UK
R. Lee, Seiche Ltd, UK
D. Jervis, Seiche Ltd, UK
J. Smith, Seiche Ltd, UK

 

 

1 INTRODUCTION  

 

The seabed of North West European waters contains Unexploded Ordnance (UXO) that potentially  pose a risk not only for the offshore infrastructures and sea users but also for all the marine wildlife present in the area. To date, clearance of UXO in the marine environment has been commonly undertaken by high order detonation which functions by placing and detonating high explosive donor charges to detonate the main charge. This release of energy has the potential to injure or disturb marine life such as marine mammals and fish, as well as physical effects on benthic and epibenthic habitats.  

 

In recent years, there has been a recognition from offshore wind developers that a focus on alternative methods of disposing of UXOs is required to reduce environmental effects, and these include the use of low-order techniques such as deflagration, a method that until recently has been more commonly used for military Explosive Ordnance Disposal (EOD) operations since the early 2000s (Merchant and Robinson, 2019). This focus has also been echoed by regulators and statutory nature conservation bodies (SNCBs), with all parties collaborating on research and controlled studies to identify new ways to clear UXO that could reduce noise levels and improve the protection of the UK  marine environment.  

 

This paper describes the use of the low-order deflagration technique which has been successfully deployed commercially for the first time in the UK by a windfarm project at the Moray West Offshore Windfarm to mitigate noise impacts between April 2023 and September 2023. The paper provides evidence on the efficacy of the low order deflagration method, and its effectiveness at acoustic environmental impacts as monitored in the field. 

 

The Moray West site is located on the Smith Bank in the Outer Moray Firth approximately 22.5 km from the Caithness coastline, in water depths ranging from 35 m to 55 m Lowest Astronomical Tide (LAT). The offshore export cable corridor comes ashore at Broad Craig, east of Sandend Bay, which  is located on the Aberdeenshire coast between Cullen and Portsoy, approximately 65 km south of the development site. 

 

There were different types of UXOs encountered in the Moray West Offshore Wind Farm and its offshore export cable corridor, with a Net Explosive Quantity (NEQ) ranging from 6 kg (6” and 4.5” artillery projectiles) up to 700 kg (German Luftmine B Mine), and the most commonly UXO type found were the 15” projectile (74 %) with a 20.7 kg NEQ.  

 

 

2 MEASUREMENT METHOD 

 

2.1 General Approach 

 

Underwater sound measurements were undertaken during EOD operations of the first 30 confirmed UXO identified within the Moray West windfarm site and offshore export corridor and the LMB mine (31 in total), located in the offshore export cable corridor. The approach to monitoring focused on gathering data to test for potential differences in noise generated and was agreed with regulators and SNCBs. The approach was to: 

  • Collect field data from clearance of UXO of different types; 

  • Collect field data from clearance of UXO in different water depths;  

  • Collect field data from clusters of the same type of UXO in close proximity to test with relatively fixed variables. 

The principal objective was to objectively demonstrate and substantiate the predicted reduction in acoustic impact of the use of low order deflagration over high-order detonation on the marine environment. These findings are intended to provide empirical evidence, guiding the formulation of precise mitigation measures for future UXO clearance operations using low order deflagration.  

 

The strategy for undertaking underwater sound measurements was to deploy a series of Autonomous Recording Units (ARUs) on seabed moorings, at varying distances from individual UXOs and clusters of UXOs. A transect of ARUs were deployed along a single azimuth at approximately 1 km, 5 km and 10 km from the selected UXO targets. 

 

Table 1: UXOs acoustically monitored during low order deflagration.

 

 

 

2.2 Deployment

 

Three ARUs were used to acoustically record individual UXO targets and clusters of UXOs during clearance operations. Two Wildlife Acoustics SM4M were deployed along a single azimuth at approximately 1 km and 5 km from the selected UXO targets, and a Sylence-LP manufactured by RTSys was deployed at the furthest mooring locations, at approximately 10 km.

 

Unlike some other acoustic surveys, the monitoring of UXO clearance operations is not possible to replicate once the UXO has been neutralised, therefore as much risk of monitoring equipment malfunction should be mitigated as much as possible. For this reason, an ROV was used for the deployment ARUs and moorings. Following a pistonphone calibration check on the vessel, the ARUs were attached to the mooring, comprising an ROV deployable case which acts as the clump weight and a single subsurface buoy shown in Figure 1.

 

 

Figure 1: Schematic ROV released mooring.

 

For each ARU location, all mooring equipment were enclosed within a case that is lowered to the seabed and placed at the required location by an ROV. Once in position, using a manipulator, the ROV opens the case releasing all buoyance and recording equipment, to ensure it sits at the required position within the water column. Although this methodology is more time consuming than a more traditional method, which involves dropping equipment over the side of a vessel, the slow, methodical, and controlled approach is less likely to cause any equipment to malfunction.

 

3 ACOUSTIC MONITORING RESULTS

 

Monitoring of the sound generated by UXO clearance was undertaken in accordance with the monitoring guidance provided by the National Physical Laboratory for UXO clearance, and as required by the Marine License conditions. Seiche deployed underwater acoustic monitoring equipment to measure the sound from 31 UXO clearance operations. The measured sound levels were analysed and compared to predicted levels, with expected sound levels calculated based on the mass of disposal tool explosive material used during the clearance, and separately, the estimated mass of explosive material within the UXO itself. 

 

There are numerous metrics that can be used to represent sound. Zero-to-peak sound pressure level (Lp,0-pk) is the difference between the highest variation (either positive or negative) and the mean pressure. When the rout-mean-squared (rms) SPL is normalised to time period, traditionally one second, it is known as sound exposure level (SEL). This can be frequency weighted to the audiogram of a species of interest, i.e. A-weighting for humans, or M-weighting for marine mammals. A  comparison between the modelled and measured unweighted Lp,0-pk and SEL for all clearances of UXOs with an NEQ of 20.7 kg against the predicted levels using Soloway and Dahl (2014), Arons (1954) and Weston (1960) is shown in Table 2. These are also shown in Figure 2 and Figure 3 with the dotted and dashed lines representing the modelled received level along a transect from the source, and the crosses showing the measured levels for each UXO clearance at the respective ranges from the UXO. These UXOs were isolated from the rest as they accounted for 74% of the targets, used the same disposal tool size and therefore offered some degree of reproducibility. 

 

The measured Lp,0-pk for each of the UXO clearance events consistently fell lower than the expected Received Level (RL) for the disposal tool charge NEQ (250 g), and far below that expected for a high order detonation. It can therefore be concluded that none of the UXO targets that were disposed of underwent a high order detonation. 

 

Table 2: Modelled received levels compared to mean measured mean received levels at ranges of 1 km, 5 km and 10 km from the UXO deflagration for a UXO of 20.7 kg.

 

 

The disposal method utilised a shaped charge which likely contributed to the lower received levels than expected, since the model used does not consider the directionality of the shaped charges or any energy which may have been dissipated or absorbed by interactions with the UXO and seabed.

 

 

Figure 2: Comparison of modelled RL against measured Lp,0-pk for all UXO clearances in the campaign which involved the deflagration of a 20.7 kg naval projectile using a disposal tool charge of 250 g.

 

 

Figure 3: Comparison of modelled RL against measured SEL for all UXO clearances in the campaign which involved the deflagration of a 20.7 kg naval projectile using a disposal tool charge of 250 g.

 

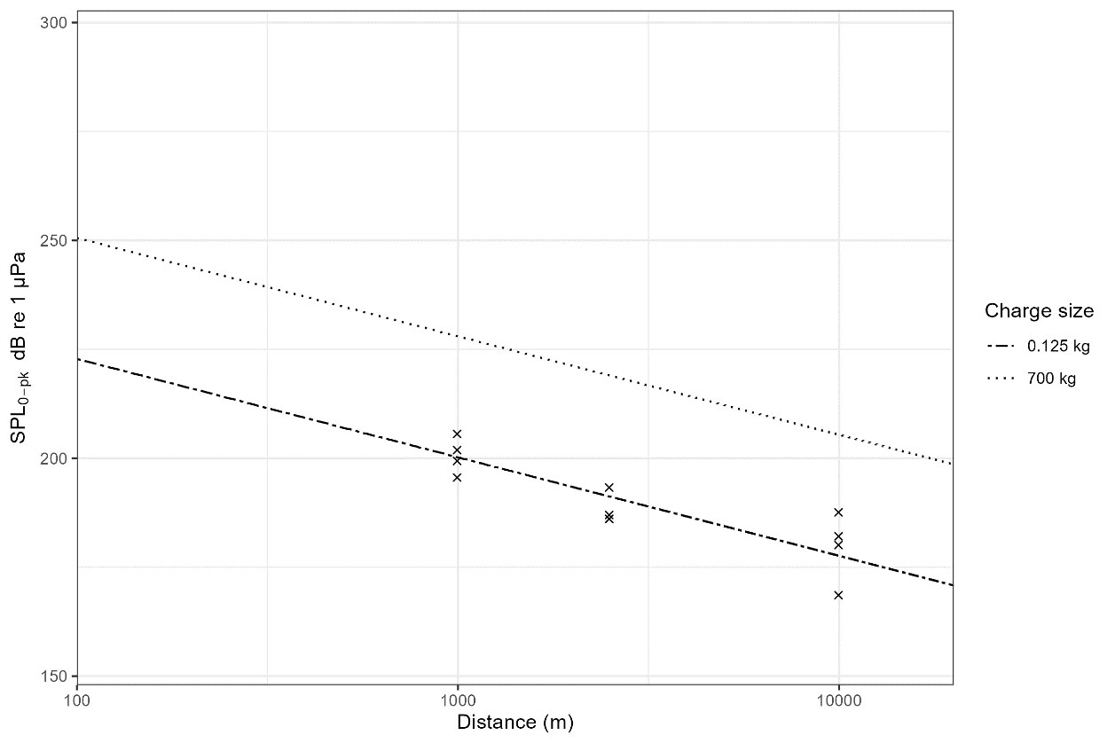
The largest target, the 700 kg LMB mine, was cleared after four attempts using a 125 g clearance tool. Similarly to the 20.7 kg targets the measured levels fell significantly below the modelled levels for the detonation of a target of this size (Figure 4).

 

 

Figure 4: Comparison of modelled RL against measured Lp,0-pk for all UXO clearance attempts for LMB mine.

 

Sound measurements were taken of Lp,0-pk and marine mammal hearing weighted SEL and compare to criteria set out in Southall et al. (2019). The Permanent Threshold Shift (PTS) threshold was only exceeded for Lp,0-pk which are shown in Figure 5. Here the lowest Sound Pressure Level (Lp,0-pk) PTS  threshold for impulsive sound, that for Very High Frequency (VHF) cetaceans (202 dB re 1 µPa), is  illustrated. The measured values at 1 km exceed the PTS threshold in some instances. However, the PTS threshold is never exceeded at 5 km or beyond for any marine mammal group in any instance.  

 

Part of the mitigation strategy was the use of an ADD to displace the animals from the area for 60 minutes prior to the deflagration attempts of 81 UXOs and 23 minutes prior to the deflagration of the LMB UXO. If any VHF species moved directly away from the source at an average velocity of 1.5 m/s (Otani et al., 2000) for this hour, they would reach a distance of 5.4 km from the source before deflagration. In the case of the LMB, the ADD was active for only 23 minutes, which would have enabled a fleeing animal to move to 2.07 km from the source, and the PTS threshold was not exceeded at 1 km for any of the deflagration attempts. Therefore, in the portion of this campaign where the sound levels were monitored it is assumed that no animals were subjected to sound levels that would have caused a PTS. 

 

 

Figure 5: Comparison of range of modelled RL against measured Lp,0-pk for all UXO clearance attempts, with lowest PTS threshold of 202 dB re 1 µPa (for VHF cetaceans) shown in red.

 

As a sound propagates away from a source, the waveform can change in shape due to dispersion. One metric that describes the impulsivity of a signal is kurtosis, this describes the “peakiness” of a waveform. Another metric is the pulse duration. The results showed that there as an elongation of the waveform with increasing distance, with an increase in pulse duration (T90) and a decrease in kurtosis (Figure 6). This illustrates that the impulsive characteristics of the sound dissipate with increasing distance.

 

 

Figure 6: Kurtosis and T90 Length for all UXO removal attempts plotted over distance form source.

 

An example of the SEL represented as third octave band plot and the waveform (Figure 7) from a UXO deflagration attempt (LMB mine) shows the higher frequencies reducing in intensity and elongation of the signal at greater distances from the source.

 

 

Figure 7: Example third-octave band measurements and waveforms received at three distances, from the attempted removal of the LMB UXO

 

4 DISCUSSION

 

4.1 Comparison of acoustic modelling to measurement results

 

Analysis of the sound measurements results showed that the Southall et al. (2019) unweighted peak sound pressure level threshold was the most likely parameter to be exceeded, with none of the marine mammal weighted SEL thresholds being exceeded at any measurement location. The Lp,0-pk PTS threshold for VHF cetaceans is 202 dB re 1 µPa, and the modelled range for this varied for the disposal tool charges between 780 m and 1.29 km (for 100 g and 250 g charge sizes). By way of comparison, the modelling predicted PTS ranges of between 2.55 km and 14.25 km for the high-order detonation of 6 kg and 700 kg target NEQs. 

 

The measured sound levels were therefore consistent with or below the levels expected for the NEQ of the disposal tool used to penetrate the UXO casing, and far below the predicted levels expected for should a UXO undergo an accidental or intended high-order detonation.  

 

The highest measured Lp,0-pk throughout the whole monitoring campaign was for the third deflagration attempt of a 20.7 kg NEQ 15” naval projectile. This was a received Lp,0-pk of 208.4 dB re 1 µPa  measured at circa. 1 km from the target location. Although this technique is approximate, using the remaining measurement along the transect it is possible to plot a logarithmic regression, and this estimates a PTS impact range of 1.5 km (Figure 8), which is approximately 1 km lower than the  modelled impact range for the smallest UXO with an NEQ of 6 kg.

 

 

Figure 8: Estimated PTS impact range for VHF cetaceans using logarithmic regression model.

 

4.2 Impulsivity of Sound 

 

For any sound of a given amplitude and frequency content, impulsive sound has a greater potential to cause auditory injury than a similar magnitude, non-impulsive sound (Southall et al., 2007; 2019;  NMFS, 2018; Benda-Beckmann et al., 2022). For highly impulsive sounds (at source) such as those generated by UXO clearance activities, the interaction with the seafloor and the water column is complex. In these cases, due to a combination of dispersion (i.e. where the waveform elongates),  multiple reflections from the sea surface and seafloor and molecular absorption of high frequency energy, the sound is unlikely to still be impulsive in character once it has propagated some distance  (Hastie et al., 2019; Martin et al., 2020; B. L. Southall et al., 2019; Southall, 2021). This transition in  the acoustic characteristics therefore has implications with respect to which threshold values should be used in impact assessments (impulsive vs. non impulsive criteria) and, consequently, the  distances at which potential injury effects may occur. 

 

As can be seen from the results of this study, the acoustic wave elongation effect is particularly pronounced at ranges of several kilometres. However, the precise range at which the transition from impulsive to non-impulsive sound occurs is difficult to define precisely, not least because the transition also depends on the response of the marine mammals’ ear. Consequently, there is currently no consensus as to the range at which this transition occurs or indeed the measure of impulsivity which  can be used to determine which threshold should be applied (Southall, 2021). 

 

5 CONCLUSIONS 

 

This paper presents the first field-collected dataset on noise monitoring undertaken during the low order deflagration of 31 UXOs, comprising seven different types with a wide range of NEQs from 6 kg  to 700 kg. All UXOs were successfully disposed of by low order deflagration, although some UXOs required more than one deflagration attempt.  

 

Low order deflagration has been shown to produce substantially reduced levels of radiated sound in controlled experiments compared to high-order detonations (Robinson et al., 2020). Using the low order deflagration method coupled with the agreed mitigation techniques, the level of sound produced in the marine environment was minimised during the UXO clearance campaign at Moray West. 

 

While sound is still produced by the disposal tool charge itself, sound produced by the low order clearance is governed by the disposal tool charge size, as opposed to the UXO explosive content. The highest measured sound level occurred during the clearance operation of a standard 15” naval projectile, which recorded a maximum Lp,0-pk of 208 dB re 1 μPa at a range of 1 km from the clearance location. During the clearance operations of the LMB mine, the highest measured SPL occurred during the fourth and final deflagration attempt, which recorded a maximum Lp,0-pk of 206 dB re 1 μPa at a range of 1 km from the clearance location. The maximum measured SPL are still significantly lower than the expected sound level if a high order detonation had taken place, which would have been a Lp,0-pk of approximately 228 dB re 1 μPa at 1 km.  

 

The results show significant elongation of the waveform with range, resulting in longer pulse durations, lower peak pressures compared to SEL, and lower kurtosis. This demonstrates that the sound due to low order clearance operations becomes less impulsive at greater distances from the source. For any sound of a given amplitude and frequency content, impulsive sound has a greater potential to cause auditory injury than a similar magnitude, non-impulsive sound (Southall et al., 2007,  2019; NMFS, 2018; von Benda-Beckmann et al., 2022). This transition in the acoustic characteristics therefore has implications with respect to which threshold values should be used in impact assessments (impulsive vs. non impulsive criteria) and, consequently, the distances at which potential injury effects may occur. This acoustic wave elongation effect is particularly pronounced at ranges of several kilometres and, in particular, it is considered highly unlikely that predicted PTS or TTS ranges for impulsive sound which are found to be in the tens of kilometres are realistic (Southall,  2021). Consequently, the results of this study provide additional evidence with respect to how the impulsivity, and therefore risk of auditory injury to marine mammals, reduces at these larger ranges. 

 

PTS injury thresholds for VHF cetaceans were exceeded on seven occasions by the acoustic data recordings at 1 km from the clearance operations (based on the Lp,0-pk parameter). The highest level recorded at 1 km was 6.4 dB above the Lp,0-pk PTS threshold for VHF cetaceans of 202 dB re 1µPa.  However, mitigation measures were in place to ensure that no marine mammals were present within  this range during UXO clearance operations. PTS thresholds were never exceeded by the sound  measured values at 5 km during the 30 UXO clearances and measured values at 2.5 km were at least 3 dB below the PTS thresholds during the LMB UXO clearance. Furthermore, due to the mitigation, including pre-clearance searches and use of ADD, it is estimated that any marine mammals which may have otherwise been affected were at least 5.4 km from the sound source at the time of the first 30 UXO clearances and at least 2.07 km from the sound source at the time of the LMB UXO  clearance, and were therefore not exposed to levels that would exceed the PTS threshold. 

 

Based on the measurements from the low order deflagration of the 31 UXOs, the risk of PTS only appears to exist for the VHF marine mammals, such as the harbour porpoise, within a range of  approximately 1.5 km for the range of disposal tool charge sizes used during these operations.  

 

6 REFERENCES

 

  1. Arons, A.B. (1954) ‘Underwater explosion shock wave parameters at large distances from the  charge’, The Journal of the Acoustical Society Of America, 26(3), pp. 343–346. 
  2. von Benda-Beckmann, A.M. et al. (2022) ‘Evaluation of kurtosis-corrected sound exposure level as  a metric for predicting onset of hearing threshold shifts in harbor porpoises (Phocoena phocoena)’,  The Journal of the Acoustical Society of America, 152(1), pp. 295–301. 
  3. Hastie, G. et al. (2019) ‘Effects of impulsive noise on marine mammals: investigating range dependent risk’, Ecological Applications, 29(5), p. e01906. 
  4. Martin, S.B., Lucke, K. and Barclay, D.R. (2020) ‘Techniques for distinguishing between impulsive  and non-impulsive sound in the context of regulating sound exposure for marine mammals’, The  Journal of the Acoustical Society of America, 147(4), pp. 2159–2176. 
  5. Merchant, N.D. and Robinson, S.P. (2019) ‘Abatement of underwater noise pollution from pile driving and explosions in UK waters’, in Report of the UKAN Noise Abatement Workshop. 
  6. NMFS (2018) ‘2018 Revision to: Technical Guidance for Assessing the Effects of Anthropogenic  Sound on Marine Mammal Hearing (Version 2.0)’. NOAA Technical Memorandum NMFS-OPR-59.  National Oceanic and Atmospheric Administration. 
  7. Otani, S. et al. (2000) ‘Diving Behavior and Swimming Speed of a Free-Ranging Harbor Porpoise,  Phocoena Phocoena’, Marine mammal science, 16(4), pp. 811–814. 
  8. Robinson, S.P. et al. (2020) ‘Underwater acoustic characterisation of unexploded ordnance disposal  using deflagration’, Marine pollution bulletin, 160, p. 111646. 
  9. Soloway, A.G. and Dahl, P.H. (2014) ‘Peak sound pressure and sound exposure level from  underwater explosions in shallow water’, The Journal of the Acoustical Society of America, 136(3),  pp. EL218–EL223. 
  10. Southall, B. L. (2021) “Evolutions in Marine Mammal Noise Exposure Criteria.” Acoustics Today 17  (2). 
  11. Southall, B. L., Finneran, J. J., Reichmuth, C., Nachtigall, P. E., Ketten, D. R., Bowles, A. E.,  Ellison, W. T., Nowacek, D. P. and Tyack, P. L. (2019) “Marine Mammal Noise Exposure Criteria:  Updated Scientific Recommendations for Residual Hearing Effects.” Aquatic Mammals 45 (2): 125– 232. 
  12. Southall, Brandon L., Ann E. Bowles, William T. Ellison, James J. Finneran, Roger L. Gentry,  Charles R. Greene Jr, David Kastak, et al. (2007) ‘Marine Mammal Noise-Exposure Criteria: Initial  Scientific Recommendations’. Aquatic Mammals 33 (4): 411–521. 
  13. Weston, D.E. (1960) ‘Underwater explosions as acoustic sources’, Proceedings of the Physical  Society (1958-1967), 76(2), p. 233.