Welcome to the new IOA website! Please reset your password to access your account.

Proceedings of the Institute of Acoustics

 

Updating BS 8233: Aligning residential acoustic design guidance with the health evidence

 

J Harvie-Clark Apex Acoustics, Design Works, William St, Gateshead, NE10 0JP, UK

B Fenech UKHSA, 10 South Colonnade, London, E14 5EA, UK

 

ABSTRACT

 

BS 8233 is a British Standard widely used for its residential design guidance. The current version specifies guidelines for internal sound levels within dwellings with partially open or closed windows. However, the epidemiological evidence on the health effects of environmental noise is largely expressed in terms of external sound levels. We propose a change to a two-step approach. First the external sound levels are used as the primary design driver for good environmental acoustic design, to align with the noise and health evidence. Good environmental acoustic design is a process that can minimise external sound impact through appropriate measures such as site layout, building orientation, massing, landscaping, and noise barriers. The impact of environmental sound is quantified in terms of its health effect (DALYs) and monetary social cost (GBP) to define categories of adverse effect that can help inform decision-making. Once external levels are minimised through good environmental acoustic design, the building envelope can provide mitigation to achieve a good internal environmental quality. The proposed approach moves away from prescribing fixed internal targets in all cases. Instead, it considers ventilation needs for indoor air quality and provisions for mitigating overheating risks holistically alongside internal acoustic conditions.

 

1 INTRODUCTION

 

The British Standard BS 8233 "Guidance on sound insulation and noise reduction for buildings," [1] provides guidance for the control of noise in and around buildings. It is applicable to the design of new buildings, or refurbished buildings undergoing a change of use. In this paper we are focussing on the content of this standard that is relevant to the acoustic design of new residential development in the UK. The standard was last updated in 2014. Over the past decade, there has been significant developments in understanding the relationship between environmental noise and public health. Recent socio-acoustic surveys have found higher levels of annoyance and self-reported sleep disturbance than older studies [2-4], and longitudinal epidemiological studies are starting to show clear links between transportation noise exposure and increased risk of incidence and mortality from cardiovascular and metabolic diseases [2].

 

In 2018, the World Health Organization (WHO, 2018) [2] released updated guidelines for environmental noise, expressing recommendations in terms of Lden (Day-Evening-Night sound level) and Lnight (Night sound level). These guidelines, along with more recent meta-analyses, provide a strong basis for re-evaluating the current approach to residential acoustic design in BS 8233. A key challenge is that a significant portion of developable land, both within and beyond urban areas, exceeds the WHO guideline levels. This makes it impractical for planning authorities to simply aspire to the WHO Guideline levels and refuse permission for residential developments solely on this basis.

 

This paper provides an overview of the recommendations in the current BS 8233:2014, including the underpinning evidence, followed by a brief summary of similar standards used in Europe. We then present a number of proposals for potential changes to the current guidance, together with the rationale behind the proposed revisions and consideration of their implementation, including potentially contentious issues. The main goal of this paper is to initiate a constructive dialogue within the acoustics community and relevant stakeholders to develop a more evidence-based and public health-oriented approach to residential acoustic design in the UK.

 

2 LOCAL AND INTERNATIONAL CONTEXT

 

Residential protection from environmental sound in the UK has remained under Planning legislation, rather than the Building Regulations. There are no Building Regulations for façade sound insulation; rather, planning authorities have the power to require appropriate protection against environmental sound. The current standard BS 8233 has no guidelines for outdoor sound levels affecting dwelling façades. A brief history of planning guidance for noise in the UK can be found in [5].

 

Guidelines on outdoor sound levels affecting a development site were previously available in Planning Policy Guidance 24 (PPG 24) [6], published by the Government in 1994. This introduced the concept of Noise Exposure Categories (NECs) to guide local authorities in England on the use of their planning powers to minimise the adverse impact of noise. The NECs, ranging from A to D, were intended to help determine the acceptability of residential development near transport-related noise sources. Category A represented circumstances where noise was unlikely to be a determining factor, while Category D indicated that development should normally be refused. Different noise levels were specified for day (07:00 - 23:00 hrs) and night-time (23:00 - 07:00 hrs) periods, considering the varying effects of noise on activities such as resting, sleeping, and communicating. The NEC noise levels in PPG 24 were based on a combination of research findings, statutory regulations and expert assessments, including the World Health Organisation Environmental Health Criteria (1980), noise insulation regulations (1975, 1993), and a UK study on sleep disturbance from aviation noise (1992).

 

PPG24 was withdrawn in 2012, when Planning policy was updated to move away from fixed guideline levels. Currently, the Government’s planning policy is described in the National Planning Policy Framework (NPPF) [7], which also makes reference to the Noise Policy Statement for England (NPSE) [8]. The UK acoustics community responded to the 2012 withdrawal of guidance by collaboratively writing ProPG: Planning & Noise (ProPG) 2017 [9]. The ProPG aimed to provide practitioners with guidance on managing noise within the planning system in England. ProPG advocates for a more holistic approach compared to Noise Exposure Categories, emphasising the importance of good acoustic design in the development process. ProPG proposes a two-stage approach to assessing and managing noise in new residential developments. Stage 1 involves an initial site noise risk assessment, which helps determine the likely importance of noise issues at the proposed development site, based on noise levels affecting the site. Stage 2 consists of a full assessment, including demonstration of a “good acoustic design” process. Central to the ProPG's “good acoustic design” is a target to achieve the internal noise level guidelines from BS 8233 with open windows. This is to enable a comfortable indoor environment for occupants, allowing for natural ventilation and a connection to the external environment. The devolved administrations (Wales, Scotland and Northern Ireland) develop their own guidance for Planning and noise. The English government provides guidance on how planning can manage potential noise impacts in new developments [10].

 

2.1 Current guidance for residential acoustic design in England

 

Both ProPG and BS 8233:2014 are referenced within the government guidance on noise, with the note [10] “ Some of these documents contain numerical criteria. These values are not to be regarded as fixed thresholds and as outcomes that have to be achieved in every circumstance .” Despite this note, guidelines for acoustic levels are typically treated as fixed thresholds by planning authorities, potentially due to a lack of understanding of the origin and assumptions made when deriving these values.

 

BS 8233:2014 includes the table shown in Figure 1, along with a series of informative and explanatory notes. The most common approach for acoustic reports to demonstrate mitigation of adverse noise levels is to identify the façade sound insulation performance required to meet these internal level guidelines. There is no clear indication in BS 8233:2014 of how these guideline values integrate with other aspects of internal environmental quality, namely indoor air quality (IAQ) and thermal comfort.

 

 

Figure 1: Extract from BS 8233:2014

 

Note 2 to Table 4 in BS 8233:2014 states that “The levels shown in Table 4 are based on the existing guidelines issued by the WHO [Guidelines for Community Noise (CGN), 1999] and assume normal diurnal fluctuations in external noise.” For bedrooms, the main consideration was sleep disturbance. For other rooms, the main consideration was effects on resting, listening and communicating. For sleep the WHO GCN [11] stated that “where noise is continuous, the equivalent sound pressure level should not exceed 30 dBA indoors, if negative effects on sleep are to be avoided. When the noise is composed of a large proportion of low-frequency sounds a still lower guideline value is recommended, because low frequency noise … can disturb rest and sleep even at low sound pressure levels. … If the noise is not continuous, LAmax or SEL are used to indicate the probability of noise induced awakenings. Effects have been observed at individual LAmax exposures of 45 dB or less. Consequently, it is important to limit the number of noise events with a LAmax exceeding 45 dB. Therefore, the guidelines should be based on a combination of values of 30 dB LAeq,8h and 45 dB LAmax . To protect sensitive persons, a still lower guideline value would be preferred when the background level is low.” For speech intelligibility the GCN stated “ for speaker-to-listener distance of about 1 m, speech in relaxed conversation is 100% intelligible in background noise levels of about 35 dBA, and can be understood fairly well in background levels of 45 dBA.” The guidelines noted that most of the population belongs to groups sensitive to interference with speech perception, which is why a guideline value of 35 dB LAeq,16hr was proposed. This value also corresponded to a value of 50 dB externally assuming a partially open window. According to the GCN, “few people are … moderately annoyed with [daytime external] LAeq levels below 50 dB”.

 

For external noise, the BS 8233:2014 normative text focuses on spaces used for “amenity space” such as gardens (including roof gardens), patios, terraces and larger balconies “which might be intended to be used for relaxation”. For these spaces, “it is desirable that the external noise level does not exceed 50 dB LAeq,T , with an upper guideline value of 55 dB LAeq,T which would be acceptable in noisier environments.” However, the standard stipulates that in higher noise areas, such as city centres or urban areas adjoining the strategic transport network, “a compromise between elevated noise levels and other factors, such as the convenience of living in these locations or making efficient use of land resources to ensure development needs can be met, might be warranted. In such a situation, development should be designed to achieve the lowest practicable levels in these external amenity spaces, but should not be prohibited”. Whilst not explicitly stated, the underpinning evidence for the 50/55 dB values can be assumed to be from the GCN: “to protect the majority of people from being [moderately/seriously] annoyed during the daytime”. The values applied for a “steady, continuous noise”. The GCN noted that “ the lower value should be considered the maximum allowable sound pressure level for all new developments whenever feasible.”

 

2.2 Examples of international guidance for residential acoustic design

 

The international collaboration in COST Action TU0901 [12] led to a proposal for a classification scheme for acoustic performance that included consideration of façade sound insulation and internal sound levels. The proposals have been crystallised in ISO/TS 19488: 2021 [13], that includes six categories. Many countries in Europe have regulations for acoustic performance that are around Class C, although English Building Regulations are generally aligned with approximately Class D performance for sound insulation [12].

 

ISO/TS 19488:2021 requirements for façade sound insulation are described with the Lden indicator (non-source specific) as shown in the first row in Table 1 (values taken from Table 3 in the standard). Although the presentation may be unfamiliar, the performance requirements translate as achieving internal Lden levels of ≤20, ≤ 24, ≤ 28… for Class A, B, C… However, this way of expressing the façade sound insulation performance in terms of an external Lden sound level is distinct from specifying internal sound level limits. As the frequency content of sound may vary over diurnal cycles, it is much more complicated for the acoustic designer to calculate internal long term averaged indicators than it is to determine a façade sound insulation performance. In addition to façade sound insulation, there are criteria for internal sound from building services, as shown in rows 2 and 3 of Table 1, which reproduces values from Table 4 from ISO/TS 19488:2021. In this case both averaged and maximum level criteria are provided. Criteria from Norwegian [14] and Danish [15] standards are also shown in Table 1.

 

ISO/TS 19488:2021 is an international standard; Rasmussen and Machimbarrena [16] documented the challenges of achieving consensus for such a classification scheme amongst countries with different existing standards and socio-economic needs. Acoustic design criteria can also be found in national standards.

 

Norwegian standard NS 8175:2019 uses a classification system with four categories. For transportation noise, separate limit values are given for road/rail/air “outside windows of rooms used for noise sensitive activities” (expressed in Lden) and for sound level outside bedrooms at night (expressed in terms of statistical maximum levels, LP,AF,max,95 for road and rail, and LP,AS,max,95 for aircraft). There are also criteria for outdoor sound from service equipment given in terms of both continuous equivalent and maximum levels. Criteria for indoor sound levels from outdoor sources are non-source specific, and expressed in terms of averaged (LAeq,24hr ) and maximum levels (Lp,AF max ).

 

Danish standard DS 490:2018 uses a classification system with six categories. Indoor traffic noise limits were simplified from previous versions: separate night limits were omitted, and the standard doesn’t distinguish between living rooms and bedrooms. The limit values are related to the average annual day-night traffic and apply to roads and railways respectively. They apply to furnished rooms with closed windows and doors, but with extract ventilation in the open position.

 

In Spain, the relative requirements specify a façade sound insulation rather than indoor noise levels, however the requirements aim to achieve a daytime internal noise level (Ld ) of 33 dB for bedrooms and 38 dB for living rooms. Sound insulation requirements are increased by 4 dB when a building is exposed to aviation noise.

 

Table 1 : Example noise criteria for dwellings from international and national standards

 

 

In France, the façade sound insulation performance requirements are derived from the outdoor sound levels in different categories, with the intention of achieving a daytime internal level of 35 dBA in main rooms and kitchens, and 30 dBA at night. Prescriptive performance requirements are identified at different distances from different types of sources (road, conventional railway, high speed railway).

 

3 PROPOSALS FOR POTENTIAL REVISIONS TO BRITISH STANDARD BS 8233

 

To reflect recent evidence on the health effects of noise from transportation noise, and considering national and international standards discussed in Section 2, we propose a two-step process with criteria for external and internal noise levels. Firstly, a range of outdoor sound level categories for road rail and air are proposed to reflect differences in their associated health impacts. We propose that the process of “good environmental acoustic design”, as described in ProPG [5] is informed by these categories. Secondly revised internal targets are proposed to ensure good internal acoustic conditions irrespective of external sound levels. Furthermore the acoustic design of the façade should be undertaken to achieve good Indoor Environmental Quality (IEQ), including provisions to enable good Indoor Air Quality (IAQ) and thermal comfort. These provisions also require consideration of sound from building services. This approach aims to facilitate a balance between the need for housing development and the protection of public health, enabling evidence-based decisions about the consequences of residential development exposed to higher levels of noise whilst acknowledging the practical constraints faced by planning authorities and developers. This is consistent with the aims and intent of the NPPF [7] and NPSE [8].

 

3.1 Minimising adverse effects attributable to external environmental sound – categories for external sound levels

 

As the majority of the epidemiological evidence on the health effects of noise is expressed in terms of external noise levels, the first step should be to manage sound levels outside rooms used for noise- sensitive activities. Source-specific relationships are generally expressed in terms of Lden for annoyance and cardiometabolic health outcomes, and Lnight for self-reported sleep disturbance. For a given Lden , annoyance and sleep disturbance vary markedly between the different transportation sources (road, rail, air), and therefore different criteria are proposed for each source. To determine the sound levels corresponding to specific annoyance and sleep disturbance risks, we propose to use the updated exposure response relationships (ERRs) by Fenech et al. (2022) [3] for annoyance from road and railway noise, and by Smith et al (2022) [4] for sleep disturbance from road, rail and air, as they include more recent studies than the ERRs proposed in the WHO Environmental Noise Guidelines (ENG2018) [2]. For annoyance from aircraft noise, we have used the ERRs in the WHO ENG2018 for this paper, however it is expected that nationally-representative ERRs from a socio- acoustic study [17] in England will be published in due course, which may be more relevant to a British standard.

 

For the lowest category we propose the use of the absolute risks considered by the WHO ENG2018 for setting their guideline levels, i.e. 10 % of exposed population highly annoyed (HA) and 3 % highly sleep disturbed (HSD). This means that even in the lowest category there will be a burden of ill-health from noise exposure. Four additional categories are defined by an incremental 5 % increased risk of annoyance. Assuming a Disability Weight of 0.02 for high annoyance [2], the categories correspond to a Disability Adjusted Life Year (DALY) rate per 100,000 exposed population per year of 200, 300, 400, 500, >500 due to annoyance.

 

For typical scenarios of road traffic noise, Lden and Lnight are highly correlated [18]. Using conversions presented in [18] (assuming a night-time period of 2300-0700), the night-time sound level corresponding to 3 % HSD (47 dB Lnight ) is roughly equivalent to the corresponding Lden level for 10 % HA (55 dB Lden). The category values for L den are approximately equivalent to an incremental 2 % increase in high sleep disturbance. Assuming a Disability Weight of 0.07 for HSD [2], the categories correspond to a DALY rate per 100,000 exposed population per year of 210, 350, 490, 630, >630 due to sleep disturbance. For railway and aircraft noise, assuming a single fixed relationship between Lden and Lnight is not recommended, as this will vary depending on the number of traffic movements in the evening and night-time on a particular railway line or airport. A separate Lden and Lnight assessment is recommended for developments exposed to railway and aircraft noise. It is prudent to carry out separate Lden and Lnight assessments for road traffic to inform the strategy for mitigating overheating.

 

The evidence for an association between transportation noise and cardiometabolic noise is strengthening [2]. A recent burden of disease assessment for England [20] concluded that there is sufficient good quality evidence to quantify the impact of road traffic noise on ischeamic heart disease (IHD), stroke and diabetes. Deriving a DALY rate for these outcomes for each category is less straight forward due to considerations such as variations in disease incidence rates, time lag between exposure and disease manifestation, years spent in disability, tenant turnover due to attributable and non-attributable mortality, changes in demographic over building lifetime, etc. However, indicative estimates can be calculated by applying the attributable fraction derived from the relative risks at the relevant noise exposures to DALY rates from the Global Burden of Disease Study 2019 (GBD 2019) [19]. Indicative costs can be calculated per dwelling (average household size of 2.36) [21] assuming the value of one DALY is £60,000 (2014 prices) [22]. Table 2 shows a summary of the criteria for the five categories, and indicative health costs (in DALYs and pounds). ERRs for IHD, stroke and diabetes are taken from [20]. GBD DALY rates are England averages. Costs are approximated to nearest £100.

 

Table 2: Proposed criteria for external levels. See text for calculation methodology and assumptions

 

 

Local planning authorities (LPAs) can use this information to develop guidelines for developers that are appropriate for their local circumstances. Developers can respond to those guidelines using the same indicators or categories for the adverse effects of noise. For example, LPAs might require residential developments in places where there is a greater land supply to be restricted to particular categories for daytime and nighttime noise, or limit the proportion of dwellings in particular higher categories. This would have the effect of requiring buffer zones or barriers based on health effects of noise. LPAs might accept residential developments in higher categories in more urbanised areas, or on particular sites for strategic reasons – developed as part of the master planning. LPAs may require a more onerous justification for developments in higher categories. If all available options to decrease the noise exposure of future residents have been exhausted, LPAs may require certain non-acoustic factors to be taken into account in particular noise exposure categories. Examples of such factors include access to good quality green (tranquil) spaces or having a quiet side to the dwelling (at least 10 dB quieter than the noisiest side) [24, 25].

 

The developer may also be required to make a financial contribution to a local community health fund, which could be used by the local authority to provide other amenities to improve the quality of life of the future residents, for example. However, the evidence on the effectiveness of such schemes is still lacking, and equity/equality aspects need careful consideration. The extent of impact on the affected population for a particular development site is a matter for the planning authority to determine. The planning authority may choose to prioritise reducing the highest impacts on some occupants or reduce the total health burden for all occupants.

 

Consideration of external sound levels is also consistent with the amenity of opening windows for a large part of the population [26]. Annoyance and sleep disturbance may be mitigated to some extent by provision of façade sound insulation, relying on closed windows; however, there is much less evidence for the beneficial effects of façade sound insulation compared with evidence associating external noise levels with the burden of disease. A precautionary approach entails making provisions for façade sound insulation.

 

3.2 Potential guidelines for internal sound levels with provision for ventilation

 

While there have been significant advances in associating external sound levels with adverse health effects, there remains a lack of equivalent evidence for sound levels internally. The evidence underpinning the WHO ENG2018 found weak evidence for the effectiveness of façade sound insulation to improve health outcomes. However, providing façade sound insulation is nonetheless considered appropriate by planning regimes when efforts to reduce external exposure have been exhausted. Three options for determining suitable internal sound targets are discussed below. These options should all be considered with the provisions for whole dwelling ventilation; this is provided without opening windows according to the various regions’ building regulations and standards in the UK.

 

Option 1: retain current guideline levels: The current guideline levels as shown in Figure 1 could be retained. As these levels were (partly) based on interference of communication in the daytime and on early studies on sleep disturbance, they could be considered to remain somewhat relevant.

 

Option 2: use international consensus: According to ISO/TS 19488, Class D internal conditions are achieved when the façade sound level difference (Dn,T,A,Tr ) is larger than {Lden – 32} dB, with a minimum of 30 dB. This is equivalent to Lden, internal ≤35 dB. Class C in the Danish standard requires an Lden,internal ≤33 dB. The same class in the Norwegian standard requires Lp,A,24hr ≤30 dB; assuming conversion factors for road traffic this is equivalent to Lden,internal ≤34 dB. Few countries take account of the varying levels of annoyance/ sleep disturbance associated with different transportation sources for their internal criteria; the additional 4 dB of façade sound insulation required in Spain for aircraft sound is one exception.

 

Table 3 : Proposed façade sound insulation – road traffic

 

 

Following the ISO/TS 19488 Class D approach, referring to the external category sound values in Table 2, a minimum value of 30 dB Dn T ,A,tr , would apply to dwellings in Categories I and II. Dwellings in higher noise categories would need increasing levels of façade sound insulation. As category V is open-ended, different criteria are required for railway and air traffic noise, as shown in Table 4.

 

Table 4: Proposed façade sound insulation – by source type and category

 

 

These levels of sound insulation aim to provide commensurate levels of protection against external sound for levels that give rise to equivalent adverse health effects. The more stringent noise insulation requirements for rail and air aligns with the typically higher sound level (and hence potentially higher disturbance) of each vehicle pass-by event for a given Lden , compared with road traffic. This may be an alternative way to address the long-term impacts of noise without using event-based indicators such as Lmax (which are prone to practical implementation challenges as described below). Where a façade is affected by more than one source of transportation sound, the highest requirement for façade sound insulation should be adopted; this does not necessarily correlate with the highest sound exposure category, because the SEC may be driven by Lnight , whereas the sound insulation is based on Lden.

 

Option 3: Simulate the effect of additional awakenings over a typical night: There has been increased knowledge of cortical awakenings from sound events, with ERRs showing the probability of a cortical awakening for a given LAS,max. [27]. However, the long-term health effects of short-term noise-induced awakenings are still not well understood [2]. It may be possible to express current guidelines for the long-term indicator Lnight in terms of a distribution of noise events by considering a profile of various window-openings and a range of scenarios for external event sound levels. Such a process was carried out by Chilton and Leonard [28] using the opening profiles reported by Passchier- Vemeer et al [29]. This could enable comparisons of the additional awakenings from different transportation sources that are associated with different long term noise indicators. The internal benchmarks for Category I external sound levels could be applied for higher external sound levels. However, any assessment is likely to be a complicated process, and may only be feasible for rail and air traffic. This would apply to nighttime sound levels only.

 

3.3 Potential guidelines for internal sound levels while mitigating overheating

 

There is a lack of scientific evidence to inform design criteria for internal sound levels with provisions for mitigating overheating. The AVO Guide [30] contains guidelines for this purpose, although this was mostly based on the expert opinion of the authors rather than health-based evidence.

 

The proposals for option 3 above could be extended to determine benchmark levels for internal levels at night associated with provisions for mitigating overheating.

 

Experience with designing to meet the requirements of Approved Doc O in England, i.e. a fixed sound threshold of 40 dBA in bedrooms at night with opening windows, indicates that this is a far more practical approach than that laid out in the AVO Guide. Derivation of a single threshold for daytime use to associate with the maximum openings required to comply with the overheating assessment would greatly simplify the process, and thereby assist compliance. A single threshold used in this way does not imply that occupants may be subject to that noise threshold throughout the season where opening windows are required to mitigate overheating. Rather, it represents the highest internal sound levels that are only likely to occur when the maximum window openings are required. An alternative approach could be to rely on the external sound categories, as shown in Table 5. The internal acoustic requirements are informed by the overheating assessment (e.g. the extent of openings and duration for which they are required) in Categories III (daytime) and II (night-time). An advantage of this approach is its simplicity for design and demonstration of compliance. It also naturally accounts for the evidence for different transportation sound sources having different levels of health burden.

 

Table 5: Potential constraints for opening windows to mitigate overheating – by SEC

 

 

The provisions required for mitigating overheating (e.g. extent of opening windows) vary considerably between daytime and night time periods, as do the effects of external sound ingress. For simplicity, the Lden SEC informs the daytime constraints, and the Lnight SEC informs the night time constraints.

 

4 DISCUSSION

 

In this paper we put forward proposals around how acoustic criteria for residential development in British Standard 8233 can be framed to reflect the growing evidence on health effects of noise. Five categories are introduced for external noise exposure, with corresponding sound levels derived from specific health thresholds (% people highly annoyed and sleep disturbed). These categories then determine the necessary façade sound insulation to achieve good internal acoustic conditions factoring in provisions for ventilation and mitigating overheating. The underpinning evidence for internal conditions is weaker than for external levels, and three options are discussed. Inevitably these proposals are subject to challenges and limitations, some of which are considered in this section.

 

4.1 Implementation challenges for good environmental acoustic design

 

A successful acoustic design should be integrated with other design objectives to create a sustainable living environment. The impact of environmental sound on a proposed development can be managed and mitigated by factors such as site layout, building orientation and massing, landscaping, and noise barriers for example. These significant design interventions may compete with other design goals, such as [31]:

 

  • Number and density of residential units: maximising the number of residential units within a given site can increase profitability but higher densities can lead to greater noise exposure and challenges in achieving good acoustic design.
  • Urban design and streetscape integration: Acoustic design measures may conflict with urban design objectives that seek to create engaging streetscapes and a strong urban fabric.
  • Building layout and orientation: The layout and orientation of buildings can significantly impact noise exposure. CIBSE TM60 [32] describes the importance of site layout, building massing and orientation in pursuit of passive design. Desirable views out may also inform architectural aesthetic preferences for the aspect, size and orientation of fenestration.
  • Outdoor amenity spaces: Providing quiet outdoor private, shared and public amenity spaces can be challenging in noisy environments.
  • Mixed-use development: Integrating noise-sensitive residential uses with noise-generating commercial or industrial uses in mixed-use developments can present significant challenges for acoustic design.

 

Some of these competing design objectives have objective performance criteria – such as financial return for the developer or building energy use. The proposed framework enables the health and social cost implications from environmental noise to be quantified.

 

4.2 Limitations and alternative considerations

 

Defining acoustic criteria in several classes or categories as opposed to single targets or limits provides the flexibility to accommodate the competing economic, social and environmental aspects of residential development, whilst distinguishing dwellings that offer better external acoustic conditions. We used published exposure response relationships for annoyance and sleep disturbance to define the five categories. Annoyance and sleep disturbance constitute a significant proportion of the burden of ill-heath attributable to transport noise [20]. The 25% highly annoyed in Category V aligns with the maximum permissible annoyance rate recommended by the Swiss Federal Noise Abatement Commission [33].

 

We propose five categories for external noise. A higher number of categories would provide a further breakdown of the impacts at the highest exposures but may also result in a more complex framework. For internal conditions we propose one target, broadly aligned with Class D in ISO/TS 19488 and Danish Standard DS 490. This ensures that the same standard is achieved irrespective of external exposure, thereby reducing potential inequalities. However, this proposal does not recognise dwellings that achieve better acoustic conditions.

 

Our proposals are largely framed around the Lden indicator, which is a 24hr composite indicator. Most recently published epidemiological evidence on the health effects of noise is expressed in terms of this indicator. The exception is sleep disturbance which uses Lnight or Lmax . For road traffic, Lden and Lnight broadly show a fixed relationship, and we propose criteria solely in Lden . For railway and air traffic, the relationship between Lden and Lnight tends to vary by railway line/airport, and therefore we provide criteria for both metrics.

 

BS 8233:2014 gives separate guidelines for living rooms and bedrooms. Changing lifestyles and dwelling configuration means that use of room types is more adaptable and changes over time. Other national / international guidelines do not distinguish between room types: rather, the criteria apply to habitable rooms in a dwelling. Currently Approved Document O in England has noise constraints for night-time in bedrooms only.

 

Some countries’ national standards retain requirements for noise from events expressed as Lmax . This is consistent with the evidence on physiological sleep disturbance, although uncertainties remain on the significance of short-term awakening on long term health outcomes. Lmax criteria may be more relevant to rail and aircraft sound, as such events can be predicted and modelled more reliably. ERRs derived from field studies show that each noise event above 35 dB LAS,max has a probability of leading to a cortical awakening. A proper risk assessment requires knowledge of all events happening throughout the night. Further research is required to understand typical distributions of LASmax inside dwellings before making firm proposals. The Norwegian use of a statistical maximum value warrants further investigation.

 

In these proposals we have not specified fixed threshold criteria for external amenity spaces. The current standard BS 8233:2014 provides three criteria: 50 dB LAeq,T (desirable), 55 dB LAeq,T (upper guideline value) and “ lowest practicable levels ” (for city centres or urban areas adjoining the strategic transport network). In the latter case the standard states that “ development …should not be prohibited ” (if levels at external amenity areas exceed 55 dB LAeq,T ). We are not aware of any aggregated data showing what percentages of residential development built in the UK since 2014 satisfy the 50, 55 and 55+ dB design criteria for external amenity space. Given our new proposed approach, it is arguable whether separate criteria for external amenity spaces are required. The evidence underpinning the Sound Exposure Categories in Table 2 is based on socio-acoustic surveys that ask for an annoyance reaction “ ...when you are here at home… ” [3]. This phrase is intended to measure the general evaluation for the respondent’s dwelling environment while excluding the broader neighbourhood areas but not strictly restricting answers to inside the building [37, 38]. Whilst some international studies have derived separate relationships for annoyance from indoor and outdoor noise (see for example [38,39]), generalising this evidence to a UK setting would require more in-depth analysis of the potential influence of housing design, cultural norms and lifestyle factors. Therefore, in the absence of UK-specific evidence, we argue that the proposed Sound Exposure Categories in Table 2 can be used to infer the quality of any external amenity space. LPAs may derive their own thresholds for different circumstances from the SECs.

 

Whilst BS 8233:2014 specifies internal sound level guidelines, other national and international guidelines specify a façade sound insulation performance. The advantage of the latter is that the specification of the building performance is separated from the external sound environment, such that if the external sound environment is agreed prior to development, the developer can make unambiguous provisions with the building. It separates the risk of changes in the external sound environment from the building performance. The building façade performance may generally be measured more simply than the internal sound level indicators.

 

As discussed in Section 4.1, certain design objectives can be translated in monetary terms. We have attempted to provide indicative monetary costs associated with each category. The costs associated with annoyance and sleep disturbance follow the methodology in [22] but use more up to date ERRs. These annual costs can be multiplied by the lifetime of the dwelling to give a more comparative value against land acquisition and construction capital costs. We have also provided suggestive costs for certain cardio-metabolic diseases, assuming English averages. Values for English regions with higher disease burdens were approximately 30% higher. Whilst we have provided indicative costs per household, it is important to note that these calculations are done at a population level, and do not represent effects on every individual. The monetary costs are likely to be an underestimate, as they do not include costs on health service, loss of productivity, etc [34]. The DALY rates in Table 2 may be compared to estimates for other types of risk factors from the GBD (2019) study [19] for England (e.g. 454 for ambient air pollution, 257 for second hand smoke), however comparisons between risk factors should be made with caution due to differences in methodologies, assumptions, and the state of the evidence.

 

5 WORKED EXAMPLE: TYPICAL FAÇADE DESIGN PROBLEM

 

5.1 Preliminary assessment and good environmental acoustic design

 

A small housing development is proposed on land with a railway on one side, and roads on the other side. To establish the sound exposure of the site, measurements of the relevant sound sources are made for representative periods according to BS 7445. An alternative approach could be to use source data from noise modelling if available and reliable. With the noise sources characterised, the impact on the proposed development is calculated.

 

A good environmental acoustic design process is carried out, and design options for reducing the exposure of residential façades are considered by the developer and adopted as far as practicable (good environmental acoustic design is not discussed further in this worked example). This results in the sound levels on two different aspects as shown in Table 6 .

 

Table 6 : Sound levels and transportation sources on different aspects

 

 

From these levels, the Sound Exposure Category (SEC) for each façade aspect is determined as shown in Table 7 .

 

Table 7 : Sound Exposure Categories on different aspects

 

 

As Façade B has a different SEC for the L den and L night indicators, the higher Category prevails and the façade is considered to be in SEC IV, for all habitable room types. This leads to the façade sound insulation requirements in Table 8 to be achieved with the provisions for whole dwelling ventilation.

 

Table 8 : Façade Sound Insulation to be achieved on different aspects

 

 

5.2 Acoustic design of building provisions to achieve performance requirements

 

A single ventilation strategy is conventionally adopted for a whole dwelling, although this is not strictly necessary. In this case, the developer intends to use a mechanical extract ventilation (MEV) strategy for dwellings with an aspect only on Façade A, and mechanical ventilation with heat recovery (MVHR) for dwellings with an aspect on Façade B. The MEV strategy requires trickle vents in habitable rooms for the make up air. The façade sound insulation must take account of the main sound transmission paths: the wall, the windows and the trickle vents where they are required. Top floor rooms should also take account of potential sound ingress through the roof.

 

5.3 Calculation of partial level differences for each transmission route

 

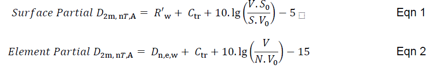
The partial façade level difference can be calculated according to the principles described by Harvie- Clark [35]. The partial façade level differences due to the three main sound ingress routes can be reduced to the expressions in Equations 1 and 2.

 

 

Where:

Partial D2m,n T,A is the façade level difference between the A-weighted level 2 m in front of the façade, and a partial standardised internal A-weighted level, assuming a normalised external road traffic spectrum, due to a single sound ingress route through a façade surface area or an element [dB]

R'w+Ctr is the weighted sound reduction index of a façade element of areas S including the spectrum adaptation term Ctr . [dB]

V is the volume of the receiving room; V0 is a reference volume of value 1 m3, for dimensional consistency [m3 ]

S is the area of the façade element; S0 is a reference area of value 1 m2 , for dimensional consistency [m2 ]

Dn,e,w + Ctr is the weighted element normalised level difference with spectrum adaptation term Ctr [dB]

N is the number of elements of performance Dn,e,w + Ctr [no dimensions]

The Partial level differences must be summed to determine the global level difference, as shown in Equation 3.

 

 

5.4 Sound and ventilation: example dimensions in the worked example

 

In the proposed development, some rooms on Façade A have the dimensions as shown in Table 9.

 

Table 9: Example room dimensions and element performance to achieve 30 dB D2m,nT,A

 

 

On façade B, an MVHR ventilation strategy is proposed, therefore trickle vents are not required. Example room dimensions and element values are shown in Table 10.

 

Table 10: Example room dimensions and element performance to achieve 35 dB D2m,nT,A

 

 

The sound insulation performance identified is required for all habitable rooms. The overall façade performance should be determined in rooms with different dimensions; the relationship between the sound ingress through the wall, window and a vent if present varies in rooms of different volumes.

 

5.5 Sound and overheating: example dimensions in the worked example

 

For Façade A, both the Lden and Lnight assessments indicate SEC II. Table 5 indicates that there are no acoustic constraints to the use of opening windows in the daytime, but an assessment is required for the night time. The night time assessment could follow the AVO Guide. As this proposed development is in England, the internal conditions will need to comply with the acoustic constraints of England’s Approved Document O in any case, which at the time of writing mean internal limits of 40 dBA LAeq, 8 hr , and 55 dB LAF,max not exceeded more than 10 times.

 

Where the only significant external sound ingress route is through an open window, the façade level difference can be calculated according to Equation 4.

 

 

Note that according to EN 12354-3 and ISO 1996, the relationship between Lnight and L1,2m for a plain façade where the façade shape factor ΔLfs = 0 is given by Equation 5.

 

 

Thus to achieve an internal level of 40 dB LAeq, 8 hr the façade level difference required is given by Equation 6.

 

 

And hence the maximum open area, Sopen is given by Equation 7.

 

 

It is convenient to express the open area as a fraction of the floor area. When the ceiling height is 2.4 m, the open area as a fraction of the floor area is given by Equation 8.

 

 

For rooms of Façade A, where the ceiling height is 2.4 m, the maximum open area for the night time period is 4.8 % of the floor area, and 5.2 % of the floor area where the rooms have a ceiling height of 2.6 m. These values can be used as the Equivalent Area according to Harvie-Clark & Healey [36], which the thermal modeller uses in the overheating model.

 

For Façade B, where the Lden assessment is SEC III, and the Lnight assessment is SEC IV, provisions for mitigating overheating should not compromise the façade sound insulation indicated in Table 4. Thus opening windows are not an appropriate solution for mitigating overheating in either the daytime or night time periods. This does not mean windows should not be openable; from an acoustic perspective, it is always preferable that windows are openable at the occupants’ discretion, to enable a sense of choice and control, with connection to the outside. As the main adverse health effect when awake is annoyance, occupants may choose the conditions that they prefer.

 

6 CONCLUSIONS

 

This paper proposes a new approach for aligning the acoustic design of residential developments with recent evidence on noise and health. By categorising the external sound environment based on the associated health effects and considering suitable internal acoustic criteria, this two-step approach provides an evidence-based framework for balancing the need for housing with the protection of public health.

 

The successful implementation of new acoustic design standards requires careful consideration of the wider constraints faced by planning authorities and developers, and the integration of acoustic design with other aspects of sustainable development. The proposals in this paper aim to stimulate further dialogue between stakeholders to inform the next revision of British Standard BS 8233.

 

Further research is needed to strengthen the evidence base and resolve outstanding gaps, particularly for indoor conditions. The ideas presented here represent an important step towards a more holistic and public health-focused approach to acoustic design. By working together to find the optimal balance between competing priorities, it should be possible to create living environments that promote both good health and sustainable development.

 

ACKNOWLEDGEMENTS

 

We gratefully acknowledge contributions by Birgit Rasmussen and Teresa Carrascal on acoustic design criteria in Europe, and by Sierra Clark on methodologies for expressing cardiometabolic noise impacts in DALYs. We also acknowledge the constructive feedback from the BS 8233 drafting panel on some of the proposals in this paper. The views expressed in this article are those of the authors and are not necessarily those of UKHSA or the Department of Health and Social Care.

 

REFERENCES

 

  1. British Standard 8233:2014. Guidance on sound insulation and noise reduction for buildings. 2014.

  2. World Health Organization. Environmental Noise Guidelines for the European Region. 2018.

  3. Fenech, B., Clark, S., Rodgers, G. An update to the WHO 2018 Environmental Noise Guidelines exposure-response relationships for annoyance from road and railway noise. Inter-noise. 2022.

  4. Smith, M.G., Cordoza, M., Basner, M. Environmental noise and effects on sleep: An update to the WHO systematic review and meta-analysis. Environmental Health Perspectives, 130(7), 2022.

  5. Professional Practice Guidance on Planning & Noise. New residential development. Supplementary Document 1, Planning & Noise, Policy and Guidance. May 2017. IOA, CIEH, ANC.

  6. Planning Policy Guidance 24 (PPG 24), Planning and Noise. Dept of the Environment, 1994.

  7. Department for Levelling Up, Housing and Communities. National Planning Policy Framework. 2023.

  8. Department for Environment, Food and Rural Affairs. Noise Policy Statement for England. 2010.

  9. Professional Practice Guidance on Planning & Noise. New residential development, 2017. IOA, CIEH, ANC.

  10. Department of Levelling Up, Housing and Communities. Guidance, Noise. https://www.gov.uk/guidance/noise--2

  11. World Health Organization. Guidelines for Community Noise. 1999.

  12. COST Action TU0901. Integrating and harmonizing sound insulation aspects in sustainable urban housing constructions.

  13. Technical Specification ISO/TS 19488. Acoustics - Acoustic classification of dwellings. 2021.

  14. Norwegian Standard NS 8175:2019. Acoustic conditions in buildings - Sound classification of various types of buildings.

  15. Danish Standard DS 490:2018. Sound classification of dwellings.

  16. Rasmussen, B., & Machimbarrena, M. Developing an international acoustic classification scheme for dwellings – From chaos & challenges to compromises & consensus? 2019.

  17. UK Civil Aviation Authority. The 2014 Survey of Noise Attitudes (SoNA) Technical Report. 2021.

  18. Brink, M., Schäffer, B., Pieren, R., Wunderli, J.M. Conversion between noise exposure indicators L_eq24h, L_day, L_evening, L_night, L_dn and L_den: Principles and practical guidance. International Journal of Hygiene and Environmental Health, 221, 2018.

  19. Global Burden of Disease Collaborative Network. Global Burden of Disease Study 2019 (GBD 2019) Results. Seattle, United States: Institute for Health Metrics and Evaluation (IHME), 2020.

  20. Jephcote, C., Clark, S.N., Hansell, A.L., et al. Spatial assessment of the attributable burden of disease due to transportation noise in England. Environment International, 178, 2023.

  21. Office for National Statistics. Families and households in the UK, 2022.

  22. Department for Environment, Food and Rural Affairs. Environmental Noise: Valuing impacts on sleep disturbance, annoyance, hypertension, productivity and quiet. 2014.

  23. Fenech, B., Lavia, L., Rodgers, G., Notley, H. Development of a new ISO Technical Specification on non-acoustic factors to improve the interpretation of socio-acoustic surveys. ICBEN, 2021.

  24. Dzhambov, A.M., et al. Lower noise annoyance associated with GIS-derived greenspace: Pathways through perceived greenspace and residential noise. International Journal of Environmental Research and Public Health, 15, 1533, 2018.

  25. Gidlöf-Gunnarsson, A., Öhrström, E. Noise and well-being in urban residential environments: The potential role of perceived availability to nearby green areas. Landscape and Urban Planning, 83, 2007.

  26. World Health Organization. Night Noise Guidelines for Europe. 2009.

  27. Basner, M., McGuire, S. A systematic review on environmental noise and effects on sleep. International Journal of Environmental Research and Public Health. 2018; 15(3): 519.

  28. Chilton, A., Leonard, P. Duration dependence of night-time noise effect for passively cooled residential bedrooms. 2022.

  29. Passchier-Vermeer, W., et al. Sleep disturbance and aircraft noise exposure – Exposure-effect relationships. TNO Report 2002.027, 2002.

  30. Acoustics, Ventilation, Overheating: Residential Design Guide. IOA, ANC, 2020.

  31. Apex Acoustics. Balancing good environmental acoustic design with other sustainable development objectives. 2024.

  32. CIBSE. TM60: Good Practice in the Design of Homes. 2018.

  33. Federal Noise Abatement Commission. Limit values for road, railway, and aircraft noise. 2021.

  34. Mietlicki, F., Bernfeld, D., Thibier, E. Quantification of the social cost of noise in France and application of the methodology to the Ile-de-France region. Internoise, 2022.

  35. Harvie-Clark, J. Practical acoustic design – The Apex Method. Proceedings of IOA, Vol. 36, Pt. 3, 2014.

  36. Harvie-Clark, J., Pereira, L., Healey, J. Assessing noise and overheating in dwellings: Aligning acoustic and thermal models for partially open windows. Proceedings CIBSE Symposium, 2024.

  37. PD ISO/TS 15666:2021. Acoustics — Assessment of noise annoyance by means of social and socio-acoustic surveys.

  38. Clark, C., Gjestland, T., Lavia, L., et al. Assessing community noise annoyance: A review of two decades of the international technical specification ISO/TS 15666:2003. The Journal of the Acoustical Society of America, 150, 3362, 2021.

  39. Fryd, J., Pedersen, T.H. Noise annoyance from urban roads and motorways. Proceedings to Internoise, 2016.