Welcome to the new IOA website! Please reset your password to access your account.

Development of a practical approach to predicting flow-induced sound from duct termination grilles

Chapter Development of a practical approach to predicting flow-induced sound from duct termination grilles

Railway tunnel ventilation systems pose particular challenges for predictions of sound emissions, including the relatively high volumetric flow rates, and a lack of well-established models and empirical data. An investigation was undertaken in support of the acoustical design of tunnel ventilation systems on the UK HS2 project, in view of the project environmental commitments and noise constraints. This was aimed at identifying or developing practical prediction models for the flow-induced sound generated by duct termination grilles. Relevant literature was reviewed to identify existing prediction models and underlying theory. The information obtained from the review was used to develop practical models using available empirical data, including tests over a relatively wide range of flow velocities.

 

By Michael J B Lotinga (WSP) and Gennaro Sica (HS2 Ltd)

 

Ventilation systems serving railway tunnels provide vital air refreshment and temperature control during normal use, as well as fume or smoke extraction in emergency situations. They differ from more typical building ventilation services insofar as they are scaled to accommodate very large volumes of air movement and may need to operate at considerably higher air flow velocities than might generally be encountered in other types of system.

 

Ducted ventilation system atmospheric terminations are often covered with a form of grille to prevent solid agents from entering the system, which could otherwise cause damage. To maintain the required system ventilation performance, protection provided at atmospheric terminations must maintain an acceptable system pressure loss, which requires sufficient open area. Mesh grilles are one way to provide system protection while maintaining an acceptable pressure loss.

 

From the perspective of control of ventilation sound emissions, the termination device may present particular difficulties. This is because:
1 by obstructing the flow, ensuing turbulence inevitably causes sound to be generated; and
2 technical mitigation for atmospheric terminations can be challenging, due to the positioning at the end of the ducted system chain, which constrains downstream mitigation. Furthermore, termination grilles in many cases will not be optimised for controlling turbulent sound emissions. Flow-generated sound caused by contractions or obstructions is characteristically dipolar or quadrupolar, with energy that scales exponentially with flow velocity [1]. Accordingly, the relatively high flow velocities associated with a tunnel ventilation system mean that atmospheric terminations could be key elements contributing to the total sound emission into the external environment. Reliable estimates of the flow-generated sound power of the termination are therefore important, since the emitted sound energy could impact on noise-sensitive locations.

 

Widely-used engineering codes of practice governing predictions of ducted ventilation plant sound sources include CIBSE Guide B4 [2], and the ASHRAE handbook [3], the latter of which declines to offer a prediction method for flow-generated sound of termination devices. Guidance on flow-generated sound predictions within the CIBSE Guide B4 is contained in Appendix 4.A2, the two parts of which address ‘bends, takeoffs, transitions’ and ‘duct terminations’, respectively. The CIBSE guidance is focused primarily on indoor applications and ‘room diffuser’ type terminations; wider applicability to atmospheric terminations comprising mesh grilles, especially large-scale systems operating at relatively high flow velocities, is uncertain. As part of the acoustic design development of the High Speed Two (HS2) tunnel ventilation systems, an evaluation was undertaken of available engineering methods, with the aim of identifying a suitable approach to assessing the system design against the relevant environmental commitments.

 

Approach
To support the investigation, archive empirical data were obtained for tests of mesh grille flow-generated sound at relatively high system velocities [4]. These test data were available for three grille designs, including two types of metal circular-strut mesh, and a plastic ‘eggcrate’ grid design (see Table 1 device references A, B and C — additional test data were subsequently incorporated, as discussed below1).

 

Device
ref
Grille description Grille dimensions
(rectangular duct), m
Grille strut
type
Grille strut
dimension* d, mmm
A Orthogonal metal mesh (25 mm square openings) 1.0 × 0.5 Round 2.5
B Asymmetric metal mesh (non-uniform rhomboidal openings) 1.0 × 0.5 Round 2.5
C Glass-reinforced plastic orthogonal ‘eggcrate’ grid (~50 mm square openings) 1.0 × 0.5 Flat (parallel to flow) 4.0
D Machined slot-perforated metal plate (rectangular openings ~300 mm length, varying width) 1.1 × 1.1 Flat (perpendicular to flow) 5.0**
E Orthogonal metal mesh (rectangular openings) 0.6 × 0.6 Round 3.0
*Estimated based on available information and adjusted according to model peak frequency fit. **Slot widths varied slightly, imposing a corresponding variation in the strut width. A single, representative, value had to be estimated for use in the prediction modelling.

 

Table 1: Grille test details 1

 

Initial predictions were made for the tested grilles using the CIBSE Guide B4 Appendix 4.A2 approach, which produced results that were not in close agreement with the test data (see Figure 1 for example). Consequently, a further review and investigation were undertaken to interrogate the basis for the model and to identify potential alternative approaches, with a view to recommending a suitable model for making validated predictions. 

 

 

Above: Figure 1: Predicted sound power level octave band spectra using CIBSE Guide B4 Appendix 4.A2.2 model for mesh grille device refs (left) A and (right) B (see Table 1); dotted lines: measurements; solid lines: predictions

 

Review
The CIBSE Guide B4 clearly distinguishes between flow-impeding elements that reside ‘in-duct’ and those that form the duct termination [2]. For the latter, the estimation method presented in CIBSE Guide B4 Appendix 4.A2.2 was developed using a simplification of an approach based on empirical data for room diffuser elements, as derived from two given source references [5,6]. Consideration of the original publications indicates they are both rooted in the method outlined by Heller & Franken [7] which itself is based on the empirical approach set out in a doctoral thesis by Hubert [8]. Hubert undertook tests on a range of termination devices and elements, including integrated room diffusers, and more elemental gratings, perforated plates and mesh grilles, investigating the effects of the various components, forms and designs on flow-generated sound [8]. The approach presented by Heller & Franken [7] is based primarily on the measurements made by Hubert on room diffusers [8], which were generally observed to exhibit a broadband sound power spectrum characterised in a simplified way by a ‘haystack’ curve rising to a gentle peak at a frequency band determined by the flow velocity upstream of the diffuser. The overall sound power was found to be related to the product of the termination area S (i.e. the duct interior cross-sectional area), the 6th power of the upstream flow velocity 𝑈, and the 3rd power of the pressure loss coefficient ζ (defined below). The CIBSE Guide B4 method represents a further simplification of these observations.

 

The predictions made using the CIBSE Guide B4 approach for the tested mesh grilles can be seen to result in spectral peaks that rise in frequency with flow velocit (Figure 1). This is also evident in the test data, but with peaks occurring in lower frequency bands. A further distinction is that the measured low-frequency spectra do not exhibit the steady, uniform attenuation predicted at low frequencies by the model; the measured values show increases in energy in the lowest octave bands. Possible reasons for these discrepancies can be identified in available literature.

 

As recounted by Hubert [8], and discussed by Wood [9], flow obstructions can cause several types of periodic sound generation phenomena, including, ‘edge tones’, ‘jet tones’, and so-called ‘aeolian tones’. Edge tones are generated when flow encounters a sharp obstructive edge, splitting the flow and causing vortex generation that results in periodic pressure fluctuations. Jet tones are caused by contractions in the flow such as may occur with perforations and small flow outlets. Aeolian tones are similar to edge tones, but occur with a streamlined flow obstruction, such as a circular strut, which creates what is known as a ‘von Kármán vortex street’; a series of alternating vortices in the wake of the obstruction, again resulting in periodic sound generation (see Figure 22).

Iudin 3 [10] and Hubert [8] noted that the tone frequency 𝑓pk of this phenomenon is determined using:

 

 

 

Above: Equation 1

 

Equation 1, St is the Strouhal number, a dimensionless quantity relating the upstream flow velocity 𝑈, the obstruction size 𝑑 (the width of the obstruction perpendicular to the flow, i.e., the cylinder diameter) and the oscillation frequency. The Strouhal number for the aeolian tone generated by a cylindrical body has been estimated empirically as ~0.2 — this value is noted by Heller & Franken [7], who acknowledge that specific elements such as rods and perforations in terminations can generate tonal energy4.

 

 

Above: Figure 2: Diagram of periodic fluctuating wake in von Kármán vortex street phenomenon with cylindrical flow obstruction causing alternating vortices (©Cesareo de La Rosa Siqueira, Attribution, via Wikimedia Commons – used with permission)

 

The spectral peak at St ~0.2 is also identified in the work of Gordon [11, 12] and Heller et al [13, 14] who undertook empirical testing of in-duct flow spoilers, and of whose work Hubert was also aware [8]. In discussing Strouhal’s original work, Rayleigh [15] advises that the aeolian tone Strouhal number is related to the kinematic viscosity of air (appearing within the Reynolds number, Re), and, based on empirical investigations, can be estimated using:

 

 

 

Above: Equation 2

 

Equation 2 depends on the absolute temperature T (in Kelvins) and density ρ of air, with which the kinematic viscosity of air is estimated using the so-called ‘Sutherland formula’ [16], with empirical constants taken from Hilsenrath et al [17].

 

Graham & Faulkner [18] proposed a model for grille flow-generated sound that attempted to generalise the information as presented by Heller & Franken [7], and incorporated the addition of terms for non-cylindrical struts. Examination of the Graham & Faulkner model [18] reveals that the terms for non-cylindrical struts were based on a simplification of the in-duct flow spoiler information in Heller & Franken [7], and disregarded the distinction made therein between the upstream flow velocity (𝑈) and the constriction flow velocity 𝑈𝑐 , which is defined as:

 

 

Above: Equation 3

 

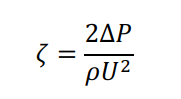
The term ζ in Equation 3 is the pressure loss coefficient, which is related to the flow obstruction pressure drop Δ𝑃 by:

 

 

Above: Equation 4

 

This work on Strouhal number-dependent aeolian tonal energy provides a possible explanation for the observed divergence between the test data and the predictions made using the CIBSE Guide B4 model, which assumes a spectral peak that is dependent only on the flow velocity and is not explicitly related to the dimensions of mesh grille elements. A further interesting aspect of the information reported by Hubert is the tests investigating variation in the incident flow turbulence [8]. These indicated an effect on the low-frequency portion of the spectrum, which was accentuated with increasing turbulence. It can be expected that turbulence in the test systems would be likely to increase with increasing flow velocity, which may explain the increased low-frequency energy observed when compared with the CIBSE Guide B4 model predictions in Figure 1.

 

Another branch of the literature on flow-generated sound from ducted system elements is found in the research underpinning the second part of the CIBSE Guide B4 Appendix 4.A2 (4.A2.1), which concerns in-duct elements including bends, branches and transitions [2]. For these elements, the CIBSE Guide B4 method has its basis in the analytical approach of Nelson & Morfey [19, 20] (which also adopted assumptions founded in the empirical work of Gordon [11, 12] and Heller & Widnall [14]), developed from Nelson’s doctoral thesis [21]. This approach was developed further by Oldham & Ukpoho [22] (also inspired by the work of Iudin[10]), and then subsequently by Waddington & Oldham [23, 24, 25, 26, 27] which resulted in formulae effecting an impressive ‘collapse’ of the sound power spectra from the various elements towards a single parametric relationship. These formulae were later simplified for adoption in the CIBSE Guide B4 Appendix 4.A2.1 [2]. A key aspect of this branch of the literature is its emphasis on the duct ‘cut-on’ frequency as a ‘pivot point’ in the spectral emissions of flow-generated sound from in-duct obstructions. In general, the duct cut-on frequency defines the spectral division between the frequency (or wavenumber) range in which transverse acoustic modes are able to propagate along the duct (above cut-on), and the converse range (below cut-on) in which only planar modes propagate. In these models, different formulae are used for the frequency bands falling above and below the cut-on frequency, to represent these differences in sound wave modal behaviour. The duct cut-on frequency 𝑓co is defined for rectangular cross-section ducts as [28]:

 

 

Above: Equation 5

 

where 𝑐 is the sound speed in air, and 𝑙y is the largest cross-sectional dimension. For circular cross- section ducts of diameter d, 𝑓co is defined by [28]:

 

 

Above: Equation 6

 

in which Ψ 1,1 is the 1st root of the derivative of the 1st-order cylindrical Bessel function of the first kind, J 1 ’ (~1.84). From the same essential theoretical basis as these models, Kårekull et al developed the ‘momentum flux’ model, while also extending the concept to termination devices [29, 30, 31], a development that links this branch of the research back to the purpose of the present study concerning atmospheric grille terminations. It is noteworthy, however, that the measurements of termination devices used by Kårekull [30] to validate the momentum flux model included only (interior) room diffuser elements, rather than (exterior) mesh grilles, the latter of which are of greater interest in the present study.

 

Initial prediction results
In view of the results for grille predictions made using the CIBSE model (see Figure 1), predictions were then made for the mesh grille test data using each of the approaches described by Heller & Franken [7] (based on Hubert [8]), NEBB 5 , [6], Kårekull et al [31], Bies et al 6 , [32] Sharland 7 [ 33 ] and SRL 8  [34] to understand if any of these engineering methods could produce a closer match to the test data than the CIBSE model predictions. When undertaking these predictions, additional archive data for grille terminations were also incorporated into the measurement dataset (device references D and E in Table 1) — these were available only for relatively low test flow velocities, but provide a broader set of data for prediction comparisons.

 

The results of the predictions 9 are summarised as the root-mean- square error (RMSE) in the predicted sound power level spectra (Lw), and the overall A-weighted sound power levels (LwA) for all of the three tested mesh grilles in Figure 3. Indicative spectral comparisons with the test data are also shown in Figure 4 (for brevity, results in Figure 4 are shown for grille device ref A only). Figure 3 indicates that prediction RMSEs tend to be larger for lower frequency bands, with broadband A-weighted RMSEs within the approximate range 5–12 dB. Interestingly, the CIBSE Guide B4 model is seen to yield somewhat lower errors than most of the other models in this group, although RMSE values exceed 5 dB and extend up ~20 dB at low frequencies. 

 

 

Above: Figure 3: Root-mean-square error in predicted sound power levels for mesh grilles (device refs A, B and E — see Table 1)

 

Inspection of Figure 4 suggests that, while there is considerable inter-model variation, all the models tend towards underestimation of the measured Lw. However, a notable distinction can be seen at low frequencies, whereby the models based on the room diffuser data from Hubert [8] underestimate the low-frequency energy (<250 Hz) by a relatively large margin, while the Kårekull et al [31] model tends towards overestimation in these bands, exhibiting a rather different spectral trend that does not display an upper frequency peak. The Sharland model, on the other hand, provides closer estimates at low frequencies, but again omits the upper frequency peak, and underestimates levels in the upper frequency range 10 . Another interesting aspect of the results shown in Figure 4 is that the NEBB [6] approach tends to yield lower estimates than the Heller & Franken [7] model on which it is based 11. This discrepancy seems to be due to differing spectral normalisation procedures, and therefore probably represents a misinterpretation by NEBB [6] of the original Heller & Franken [7] approach.

 

Since none of the reviewed models closely predicted the measured data, new models for mesh grille flow-generated sound emissions have been formulated, derived by incorporating aspects of existing models together with the information gathered during the literature review, as described below.

 

Model development
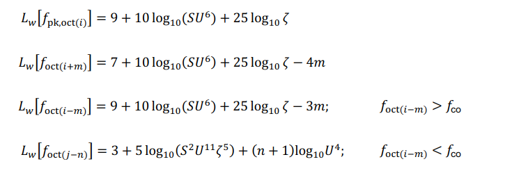
First, the peak frequency 𝑓pk is estimated using Equation 7 (making use of Equation 2 and Equation 3): 

 

Below: Equation 7

 


 

 

In Equation 7, the Strouhal number term in the bottom row has been derived by fitting a power curve to the values advised by Heller & Franken [7], based on the assumptions that the Strouhal number should approach zero as the pressure difference drops towards zero (i.e. no apparent obstruction), and will increase in a non-linear fashion with increasing pressure difference. The octave band in which the peak frequency lies 𝑓pk,oct(i)  is determined according to the definitions in BS EN IEC 61260 [35]. Similarly, the duct cut-on frequency is calculated according to Equation 5 or Equation 6 (as appropriate), and the octave band in which the cut-on frequency lies 𝑓pk,oct(j) is determined. Other octave bands in the spectrum relative to the peak and cut-on bands are then denoted 𝑓oct(i+m) or 𝑓oct(j-n), respectively, where m and n are integers indicating each band’s position relative to (i.e., m or n bands above or below) 𝑓pk or 𝑓co.

 

 

 

Above: Figure 4: Predicted sound power level octave band spectra for mesh grille device ref A, from various models: (top left) Heller & Franken [7]; (top right) NEBB [6]; (bottom left) Kårekull et al [31]; (bottom right) Sharland [33]; dotted lines: measurements; solid lines: predictions (see Table 1)

 

1 Full test information, including acoustic and flow data, is available as supporting information within the full-length HS2 Learning Legacy article: https://www.researchgate.net/publication/386104434 [36].
2 A historical overview of developments concerning sound generation by cylinders in flow is provided by Blevins [41].
3 The author E. I. Iudin has also authored English-language scientific publications on aeroacoustics (or Russian-language publications translated into English) as ‘E. J.Judin’ and ‘E. Y. Yudin’ (a reflection of the ambiguity of the Russian phoneme).
4 For ‘wide grids or individual cylindrical rods’, Hubert infers a slightly larger value of ~0.21 from the reported test data [8].
5 National Environmental Balancing Bureau, as cited in the CIBSE Guide B4 [2], and based on a simplification of Heller & Franken [7].
6 This is another version of the Hubert [8]-based approach, citing Baumann & Coney [39], which is a later edition of the same information presented by Heller & Franken [7].
7 This simplified model relies only on the flow velocity and duct dimensions, but was included as it is commonly referenced in engineering reports.
8 Sound Research Laboratories, which provides another simplified model and is also commonly referenced in engineering reports. This model is limited to overall sound power levels, so the spectral terms from Sharland [33] were applied, to aid comparison.
9 Prediction results presented have been made using values for the sound speed c calculated using the empirical approach of Wong & Embleton [40], assuming a relative humidity of 50%, dry air molar mass of 0.02895 kgmol -1 , and universal gas constant value of 8.3145 JK -1 mol -1 , with air density ρ calculated as ρ= P 0 /( R a T ), where P 0 is static atmospheric pressure at ground level, assumed to take a value of 101325 Pa, and R a is the specific gas constant for dry air, assumed to take a value of 287.058 Jkg -1 K -1.
10 For brevity, the SRL grille ref A results are not shown in Figure 4 as these are simply an affine-transformed version of the Sharland results, shifted down the sound power axis and resulting in larger errors.
11 Again, for brevity, the Bies et al [32] model results are not shown in Figure 4, as this is a compact formulation of Heller & Franken [7], and so yields almost identical results.

 

The sound power spectrum Lw can then be estimated using:

 

 

Above: Equation 8

 

The results of predictions for the mesh grilles using Equation 8 are presented in Figure 5. The model predictions in Figure 5 exhibit a closer fit to the measurements, although the model consistently overestimates the sound power level for one of the grille E tests (Figure 5 bottom left). The corresponding test data indicate that, while both grille E tests were reportedly undertaken at the same flow velocity, each test was applied in opposite directions, one of which resulted in a much higher pressure drop across the device [36]. The reason for this remains unclear, as such a large pressure discrepancy due to a reversal of flow direction was not observed in any of the other grilles for which archive test data were available.

 

A comparison of RMSE between the Equation 8 model predictions for the mesh grilles (refs A, B and E), and the non-mesh grilles (C, a plastic ‘eggcrate’ grid, and D, a machined slot-perforated metal plate) is shown in Figure 6 (below). This indicates that model errors tend to be larger for the non-mesh predictions than for the mesh grilles.

 

The RMSE in LwA for each grille is also shown in Figure 6 (below), which illustrates that, although the error for one of the grille E tests is relatively large (see Figure 5 bottom left), the smaller number of tests on this device compared with the other grilles means this has a reduced importance when considered (aggregated) over the full dataset.



A similar, but marginally more complicated, model has been developed by replacing the Δ𝑃 parameter with separate terms for 𝑈 and ζ, and allowing these to have varying exponents, as shown in Equation 9:

 

 

Above: Equation 9

 

The results of predictions made using the model in Equation 9 are shown in Figure 7, which shows a good agreement with measurements in most cases — lesser agreement is evident for the plastic ‘eggcrate’ grid grille ref C and for one test of the mesh grille ref E.

 

As shown in Figure 8, the prediction models produce results in closer agreement with available archive test data than a range of existing engineering models identified in guidance and relevant literature. While the new models have been developed for mesh grille terminations, the improvement in general agreement also extends to the slot-perforated metal plate and plastic ‘eggcrate’ grid grille types included in the dataset, indicating the potential for wider applicability.

 

The resulting accuracy of sound power predictions made using the model defined in Equation 9 is summarised in Figure 9, which demonstrates the generally good agreement with the measured data over the spectral range considered.

 

 

Below: Figure 5: Predicted sound power level octave band spectra using Equation 8 for mesh grille device refs (top left) A, (top right) B, and (bottom left) E; dotted lines: measurements; solid lines: predictions; (bottom right) direct comparison of spectral sound power level with measurements (see Table 1)

 

 

 


 

 

Above: Figure 6: Root-mean-square error in predicted sound power levels using Equation 8 (see Table 1)

 

Below: Figure 7: Predicted sound power level octave band spectra using Equation 9 for all grille device refs (top left) A, (top right) B, (mid left) C, (mid right) D, (bottom right) E (see Table 1 in); dotted lines: measurements; solid lines: predictions; (bottom right) root-mean-square error in predicted sound power levels for mesh or non-mesh grilles

 


 

 

Above: Figure 8: Root-mean-square error in predicted sound power levels for all grilles (see Table 1)

 

 

Above: Figure 9: Direct comparison of sound power levels predicted using Equation 9 with measurements for all grilles (see Table 1); (left) octave band spectral levels; (right) overall A-weighted levels

 

Conclusions, limitations and outlook
Within the context of large-scale railway tunnel ventilation systems applications, system requirements may entail relatively high flow rates to be achieved, leading to increased risks from flow-generated sound emissions. Suitable estimation methods are therefore important for evaluating the potential risk to achieving environmental design targets. The flow-generated sound emissions from duct system atmospheric termination grilles have been investigated, with the aim of identifying practical approaches to predicting sound generation.

 

Predictions using existing engineering methods identified in relevant guidance and literature with laboratory test input parameters were shown to underestimate measured levels in available archive test data. New models have therefore been developed, based on a combination of aeroacoustic considerations and empirical optimisation, predictions from which exhibit a closer agreement with the data. Of particular value for the application is that the proposed models show good agreement over a relatively wide range of flow velocities.

 

It must be acknowledged that a detailed physical analysis has not been undertaken to provide a rigorous basis for the predictive approach. One area in particular that should be highlighted is the low-frequency part of the spectrum. When developing prediction models with empirical data there is always a risk of overfitting to measured values, which can result in poorer prediction performance for input parameters that are not found in the dataset. The models developed exhibit reduced error in this region compared with existing engineering approaches, which is primarily explained by the assumption in the existing models of progressive attenuation for bands below the identified peak frequency; this contrasts with the elevating sound energy in the proposed models in certain low-frequency bands. Based on literature evidence, a plausible explanation for the higher low-frequency energy has been proposed as greater turbulence in the system at increasing flow velocities. The proposed models assume that these elevations in low-frequency energy occur below the duct cut-on frequency, and this seems to agree with some of the data, yet a physical reason for this frequency representing an inflection point has not been investigated. Testing the models with additional measurement data could be valuable for more extensive validation, and for investigating physical theories. It should also be remembered that the dataset comprises only a relatively small range of termination designs, and therefore the models may not necessarily be similarly accurate in making predictions for other grille designs and geometries. Further research could examine the applicability of the models developed to a wider range of grille designs, and consider further the potential influence of turbulence (or other mechanisms) on the low-frequency spectral region.

 

This study of the flow-generated sound from termination devices represents investigations undertaken during the design development stages, and as such does not imply that such devices as outlined will necessarily be incorporated in the completed design of HS2. While the review of mesh grille sound has highlighted the potential contributions from tonal energy generated by the flow around grille struts, this does not necessarily mean that the sound emitted would contain prominent or even audible tones — determining the subjective audibility and prominence of tones within aerodynamic sound can be a complex process, and tonal energy can be masked by the contributions from broadband sound energy. Octave-band and third octave-band engineering methods as discussed here do not provide sufficient spectral resolution to support robust analyses of tonal audibility or prominence. This is also a limitation of the measurement data used to develop the proposed models.

 

Acknowledgements
This research was developed during collaboration under the Railway Systems Support Contract between WSP UK acoustics and tunnel ventilation engineering teams, and the HS2 Noise and Vibration Engineering and Noise Assessment teams.

 

This article has been adapted by the authors from research reported as part of the HS2 Learning Legacy [36]. These reproduced materials are courtesy of HS2 Ltd. Further Learning Legacy resources can be found on the HS2 Learning Legacy website https://learninglegacy.hs2.org.uk

 

[1] W. K. Blake, Mechanics of flow-induced sound and vibration, 2nd ed., vol. I, Elsevier, 2017.
[2] CIBSE, “CIBSE Guide B4: Noise and vibration control for building services systems,” The Chartered Institution of Building Services Engineers, London, 2016.
[3] ASHRAE, “2023 ASHRAE Handbook: heating, ventilation and air-conditioning applications,” American Society of Heating, Refrigerating and Air-Conditioning Engineers, 2023.
[4] Emcor Rail / Fraunhofer-Institut für Bauphysik, “Acoustic tests for regenerated noise at grilles and dampers in high air flow speed conditions,” Emcor Rail, 2004.
[5] M. S. Howe and H. D. Baumann, “Noise of gas flows,” in Noise and vibration control engineering, 1 ed., L. L. Beranek and I. L. Vér, Eds., Wiley, 1992, pp. 519-563.
[6] NEBB, “Sound and vibration design and analysis,” National Environmental balancing Bureau, Rockville, 1994.
[7] H. H. Heller and P. A. Franken, “Noise of gas flows,” in Noise and vibration control, L. L. Beranek, Ed., McGraw-Hill, 1971, pp. 522-527.
[8] M. Hubert, “Untersuchungen über Geräusche durchströmter Gitter (Investigation into noise from grilles),” Technical University of Berlin, 1969.
[9] A. B. Wood, A textbook of sound, 3rd ed., G Bell & Sons, 1955.
[10] E. I. Iudin, “The acoustic power of the noise creatd by airdu0ct elements,” Soviet Physics—Acoustics, vol. 1, pp. 383-389, 1955.
[11] C. G. Gordon, “Spoiler-generated flow noise. I. The experiment,” Journal of the Acoustical Society of America, vol. 43, no. 5, pp. 1041-1048, 1968.
[12] C. G. Gordon, “Spoiler-generated flow noise. II. Results,” Journal of the Acoustical Society of America, vol. 45, no. 1, pp. 214-223, 1969.
[13] H. H. Heller, S. E. Widnall and C. G. Gordon, “Correlation of fluctuating forces with the sound radiation from rigid flow spoilers,” 1969.
[14] H. H. Heller and S. E. Widnall, “Sound radiation from rigid flow spoilers correlated with fluctuating forces,” Journal of the Acoustical Society of America, vol. 47, no. 3, pp. 924-936, 1970.
[15] J. W. Strutt (3rd Baron Rayleigh), “Ælion tones,” Philosophical Magazine and Journal of Science, vol. 29, no. 172, pp. 433-444, 1915.
[16] W. Sutherland, “The viscosity of gases and molecular force,” Philosophical Magazine Series 5, vol. 36, no. 223, pp. 507-531, 1893.
[17] J. Hilsenrath, W. S. B. Beckett, L. Fano, H. J. Hoge, J. F. Masi, R. L. Nuttal, Y. S. Touloukian and H. W. Woolley, Tables of thermal properties of gases, US Department of Commerce, 1955.
[18] J. B. Graham and L. L. Faulkner, “Fan and flow system noise,” in Handbook of industrial noise control, L. L. Faulkner, Ed., Industrial Press, 1976, pp. 386-438.
[19] P. A. Nelson and C. L. Morfey, “Aerodynamic sound production in low speed flow ducts,” Journal of Sound and Vibration, vol. 22, no. 2, pp. 263-289, 1981.
[20] P. A. Nelson and C. L. Morfey, “Corrigendum/erratum to: Aerodynamic sound production in low speed flow ducts,” Journal of Sound and Vibration, vol. 328, no. 1-2, p. e1, 2009.
[21] P. A. Nelson, “Aerodynamic sound production in low speed flow ducts,” 1980.
[22] D. J. Oldham and A. U. Ukpoho, “A pressure-based technique for predicting regenerated noise levels in ventilation systems,” Journal of Sound and Vibration, vol. 140, no. 2, pp. 259-272, 1990.
[23] D. C. Waddington and D. J. Oldham, “Generalized flow noise prediction curves for air duct elements,” Journal of Sound and Vibration, vol. 222, no. 1, pp. 163-169, 1999.
[24] D. J. Oldham and D. C. Waddington, “The prediction of airflow-generated noise in ducts from considerations of similarity,” Journal of Sound and Vibration, vol. 248, no. 4, pp. 780-787, 2001.
[25] D. J. Oldham and D. C. Waddington, “Aerodynamic sound generation in low speed ducts,” in Handbook of noise and vibration control, John Wiley & Sons, 2007, pp. 1323-1327.
[26] D. C. Waddington and D. J. Oldham, “Noise generation in ventilation systems by the interaction of airflow with duct discontinuities: Part 1 bends,” Building Acoustics, vol. 14, no. 3, pp. 179-201, 2007.
[27] D. C. Waddington and D. J. Oldham, “Noise generation in ventilation systems by the interaction of airflow with duct discontinuities: Part 2 take-offs,” Building Acoustics, vol. 15, no. 1, pp. 49-71, 2008.
[28] E. Skudrzyk, The foundations of acoustics: Basic mathematics and basic acoustics, Wien, Austria: Springer-Verlag, 1971.
[29] O. Kårekull, G. Efraimsson and M. Åbom, “Prediction model of flow duct constriction noise,” Applied Acoustics, vol. 82, pp. 45-52, 2014.
[30] O. Kårekull, “Predicting flow-generated noise from HVAC components,” KTH Royal Institute of Technology, Stockholm, 2015.
[31] O. Kårekull, G. Efraimsson and M. Åbom, “Revisiting the Nelson-Morfey scaling law for flow noise from duct constrictions,” Journal of Sound and Vibration, vol. 357, pp. 233-244, 2015.
[32] D. A. Bies, C. H. Hansen, C. Q. Howard and K. L. Hansen, Engineering noise control, 6th ed., Taylor & Francis Group, 2024.
[33] I. Sharland, Woods Practical Guide to Noise Control, Colchester: Woods, 1972.
[34] Sound Research Laboratories, Noise control in building services, Oxford: Pergamon Press, 1988.
[35] BSI, “BS EN IEC 61260-1:2014 Electroacoustics—Octave-band and fractional-octave-band filters. Part 1: Specifications,” British Standards Institution, 2014.
[36] M. Lotinga and G. Sica, “Development of practical approaches to predicting flow-induced sound from termination devices in large-scale railway tunnel ventilation systems,” HS2 Ltd, 2024.
[37] M. J. Lighthill, “On sound generated aerodynamically I. General theory,” Proceedings of the Royal Society A, vol. 211, pp. 564-587, 1952.
[38] M. J. Lighthill, “On sound generated aerodynamically II. Turbulence as a source of sound,” Proceedings of the Royal Society A, vol. 222, pp. 1-32, 1954.
[39] H. D. Baumann and W. B. Coney, “Noise of gas flows,” in Noise and vibration control engineering, 2nd ed., I. L. Vér and L. L. Beranek, Eds., John Wiley & Sons, 2006, pp. 611-658.
[40] G. S. K. Wong and T. F. W. Embleton, “Variation of the speed of sound in air with humidity and temperature,” Journal of the Acoustical Society of America, vol. 77, no. 5, pp. 1710-1712, 1985.
[41] R. D. Blevins, “Review of sound induced by vortex shedding from cylinders,” Journal of Sound and Vibration, vol. 92, no. 4, pp. 455-470, 1984.